Wolfram Language Paclet Repository

Community-contributed installable additions to the Wolfram Language

Primary Navigation

    • Cloud & Deployment
    • Core Language & Structure
    • Data Manipulation & Analysis
    • Engineering Data & Computation
    • External Interfaces & Connections
    • Financial Data & Computation
    • Geographic Data & Computation
    • Geometry
    • Graphs & Networks
    • Higher Mathematical Computation
    • Images
    • Knowledge Representation & Natural Language
    • Machine Learning
    • Notebook Documents & Presentation
    • Scientific and Medical Data & Computation
    • Social, Cultural & Linguistic Data
    • Strings & Text
    • Symbolic & Numeric Computation
    • System Operation & Setup
    • Time-Related Computation
    • User Interface Construction
    • Visualization & Graphics
    • Random Paclet
    • Alphabetical List
  • Using Paclets
    • Get Started
    • Download Definition Notebook
  • Learn More about Wolfram Language

ProteinVisualization

Guides

  • Protein Visualization

Symbols

  • AlphaCarbonPathPlot3D
  • AmidePlanePlot
  • AMPathogenicity
  • BiomoleculePlot3D
  • DihedralAnglePlot
  • ExtractBackboneCoordinates
  • MissenseVariantArrayPlot
  • MissenseVariantData
  • MissenseVariantListPlot
  • MissenseVariantPlot3D
  • MissenseVariantSubstitutionMatrixPlot
  • PathogenicityConfidenceCorrelation
  • PathogenicityConfidencePlot
  • ProteinBackboneAtomPlot
  • ProteinContactGraphPlot
  • ProteinContactMap
  • RamachandranAngles
  • RamachandranPlot
  • ResidueDistanceGraph
  • ResidueDistanceMatrix
  • $CrystalStructuresDirectory
WolframChemistry`ProteinVisualization`
AMPathogenicity
​
AMPathogenicity
[gene]
returns the mean or median predicted pathogenicity per residue corresponding to a specific human protein coding
gene
.
​
Details and Options

Examples  
(3)
Basic Examples  
(1)
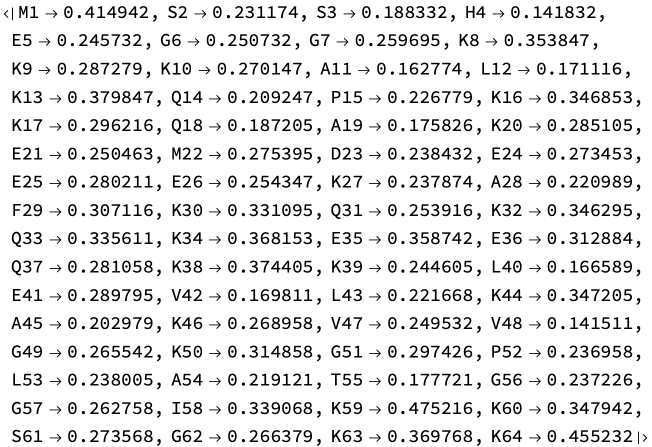
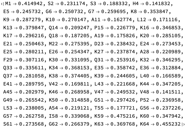
Get the mean AlphaMissense (AM) pathogenicity for the Translation machinery-associated protein 7B:
In[1]:=
TMA=
AMPathogenicity
["Translation machinery-associated protein 7B"]
Out[1]=
Visualize the mean AM pathogenicity score:
In[2]:=
ListLinePlot[Values@TMA]
Out[2]=
Scope  
(1)

Options  
(1)

SeeAlso
MissenseVariantArrayPlot
 
▪
MissenseVariantListPlot
 
▪
MissenseVariantSubstitutionMatrixPlot
 
▪
MissenseVariantPlot3D
 
▪
MissenseVariantData
RelatedGuides
▪
Protein Visualization
RelatedLinks
▪
AlphaMissense
▪
Cheng, Jun, et al. Accurate proteome-wide missense variant effect prediction with AlphaMissense. Science 381.6664(2023): eadg7492.
AlphaMissense Database Copyright (2023) DeepMind Technologies Limited . All predictions are provided for non - commercial research use only under CC BY - NC - SA license . Researchers interested in predictions not yet provided, and for non - commercial use, can send an expression of interest to alphamissense@google . com . Disclaimer : The AlphaMissense Database and other information provided on this site is for theoretical modelling only, caution should be exercised in use . It is provided "as - is" without any warranty of any kind, whether express or implied . For clarity, no warranty is given that use of the information shall not infringe the rights of any third party . The information provided is not intended to be a substitute for professional medical advice, diagnosis, or treatment, and does not constitute medical or other professional advice . The predictions in the AlphaMissense Database are predictions only, with varying levels of confidence and should be interpreted carefully . If you use this resource for your research please cite the following publication : "Accurate proteome - wide missense variant effect prediction with AlphaMissense" Jun Cheng, Guido Novati, Joshua Pan, Clare Bycroft, Akvilė Žemgulytė, Taylor Applebaum, Alexander Pritzel, Lai Hong Wong, Michal Zielinski, Tobias Sargeant, Rosalia G . Schneider, Andrew W . Senior, John Jumper, Demis Hassabis, Pushmeet Kohli, Žiga Avsec
""

© 2026 Wolfram. All rights reserved.

  • Legal & Privacy Policy
  • Contact Us
  • WolframAlpha.com
  • WolframCloud.com