Function Repository Resource:

GaussianHessenbergDecomposition

Source Notebook

Compute the Gaussian Hessenberg decomposition of a matrix

Contributed by: Jan Mangaldan

ResourceFunction["GaussianHessenbergDecomposition"][m]

gives the Gaussian Hessenberg decomposition of a square matrix m.

ResourceFunction["GaussianHessenbergDecomposition"][{m,a}]

gives the Gaussian Hessenberg-triangular decomposition of the matrix pencil {m,a}.

Details

ResourceFunction["GaussianHessenbergDecomposition"][m] gives a result of the form {p,h}, where the matrices p and h satisfy the relation p.h.Inverse[p]==m.
In the Gaussian Hessenberg decomposition, the matrix h is an upper Hessenberg matrix that is similar to (in other words, has the same eigenvalues as) the original matrix, while the matrix p is a product of permutation matrices and stabilized elementary matrices (Gauss transforms).
ResourceFunction["GaussianHessenbergDecomposition"][{m,a}] yields a list of matrices {q,h,p,t}, where h is an upper Hessenberg matrix and t is an upper‐triangular matrix, such that m is given by q.h.p and a is given by q.t.p.
The matrices q and p in the Gaussian Hessenberg-triangular decomposition are products of permutation matrices and stabilized elementary matrices (Gauss transforms).

Examples

Basic Examples (2) 

Find the Gaussian Hessenberg decomposition of a 4×4 matrix:

In[1]:=
{p, h} = ResourceFunction["GaussianHessenbergDecomposition"][\!\(\*
TagBox[
RowBox[{"(", "", GridBox[{
{"1", "2", "3", "5"},
{"2", "4", "1", "6"},
{"1", "2", 
RowBox[{"-", "1"}], "3"},
{"2", "0", "1", "3"}
},
GridBoxAlignment->{"Columns" -> {{Center}}, "Rows" -> {{Baseline}}},
GridBoxSpacings->{"Columns" -> {
Offset[0.27999999999999997`], {
Offset[0.7]}, 
Offset[0.27999999999999997`]}, "Rows" -> {
Offset[0.2], {
Offset[0.4]}, 
Offset[0.2]}}], "", ")"}],
Function[BoxForm`e$, 
MatrixForm[BoxForm`e$]]]\)]
Out[1]=

The matrix h is an upper Hessenberg matrix:

In[2]:=
MatrixForm[h]
Out[2]=

Scope (6) 

The Gaussian Hessenberg decomposition for a complex matrix:

In[3]:=
ResourceFunction["GaussianHessenbergDecomposition"][({
   {1 + I, 3 + I, 2 - I, 1 + I},
   {3 + I, 2 - I, 1 + I, 3 + I},
   {4 + I, 5 + I, 6 - I, 2 + I},
   {1 + I, 3 - I, 3 - I, 2 - I}
  })]
Out[3]=
In[4]:=
MatrixForm[%[[2]]]
Out[4]=

The Gaussian Hessenberg decomposition for a numeric matrix:

In[5]:=
ResourceFunction["GaussianHessenbergDecomposition"][({
   {1., 2., 3., 4.},
   {5., 6., 7., 8.},
   {9., 10., 11., 12.},
   {13., 14., 15., 16.}
  })]
Out[5]=
In[6]:=
MatrixForm[%[[2]]]
Out[6]=

The Gaussian Hessenberg decomposition for a matrix with entries having 24­digit precision:

In[7]:=
ResourceFunction["GaussianHessenbergDecomposition"][N[({
    {1, 2, 3, 4},
    {5, 6, 7, 8},
    {9, 10, 11, 12},
    {13, 14, 15, 16}
   }), 24]]
Out[7]=

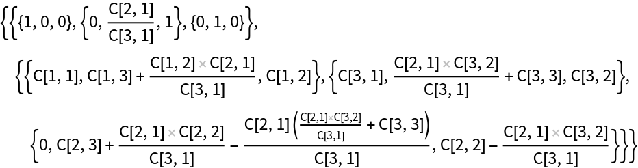
The Gaussian Hessenberg decomposition for a symbolic matrix:

In[8]:=
ResourceFunction["GaussianHessenbergDecomposition"][Array[C, {3, 3}]]
Out[8]=

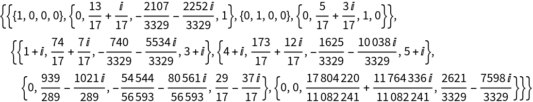
The Gaussian Hessenberg-triangular decomposition for an exact matrix pencil:

In[9]:=
MatrixForm /@ ResourceFunction["GaussianHessenbergDecomposition"][{( {
     {50, -60, 50, -27, 6, 6},
     {38, -28, 27, -17, 5, 5},
     {27, -17, 27, -17, 5, 5},
     {27, -28, 38, -17, 5, 5},
     {27, -28, 27, -17, 16, 5},
     {27, -28, 27, -17, 5, 16}
    } ), ( {
     {16, 5, 5, 5, -6, 5},
     {5, 16, 5, 5, -6, 5},
     {5, 5, 16, 5, -6, 5},
     {5, 5, 5, 16, -6, 5},
     {5, 5, 5, 5, -6, 16},
     {6, 6, 6, 6, -5, 6}
    } )}]
Out[9]=

The Gaussian Hessenberg-triangular decomposition for a numeric matrix pencil:

In[10]:=
MatrixForm /@ ResourceFunction["GaussianHessenbergDecomposition"][{N[( {
      {50, -60, 50, -27, 6, 6},
      {38, -28, 27, -17, 5, 5},
      {27, -17, 27, -17, 5, 5},
      {27, -28, 38, -17, 5, 5},
      {27, -28, 27, -17, 16, 5},
      {27, -28, 27, -17, 5, 16}
     } )], N[( {
      {16, 5, 5, 5, -6, 5},
      {5, 16, 5, 5, -6, 5},
      {5, 5, 16, 5, -6, 5},
      {5, 5, 5, 16, -6, 5},
      {5, 5, 5, 5, -6, 16},
      {6, 6, 6, 6, -5, 6}
     } )]}]
Out[10]=

Properties and Relations (3) 

A 4×4 matrix:

In[11]:=
m = \!\(\*
TagBox[
RowBox[{"(", "", GridBox[{
{"1", "2", "3", "5"},
{"2", "4", "1", "6"},
{"1", "2", 
RowBox[{"-", "1"}], "3"},
{"2", "0", "1", "3"}
},
GridBoxAlignment->{"Columns" -> {{Center}}, "Rows" -> {{Baseline}}},
GridBoxSpacings->{"Columns" -> {
Offset[0.27999999999999997`], {
Offset[0.7]}, 
Offset[0.27999999999999997`]}, "Rows" -> {
Offset[0.2], {
Offset[0.4]}, 
Offset[0.2]}}], "", ")"}],
Function[BoxForm`e$, 
MatrixForm[BoxForm`e$]]]\);

Compute its Gaussian Hessenberg decomposition:

In[12]:=
{p, h} = ResourceFunction["GaussianHessenbergDecomposition"][m]
Out[12]=

The matrix h is upper Hessenberg:

In[13]:=
ArrayRules[h]
Out[13]=
In[14]:=
Cases[%[[All, 1]], {i_, j_} /; (i - j > 1)]
Out[14]=

The original matrix m is given by p.h.Inverse[p]:

In[15]:=
p . h . Inverse[p] - m
Out[15]=

A pair of 4×4 matrices:

In[16]:=
m = \!\(\*
TagBox[
RowBox[{"(", "", GridBox[{
{"1", "2", "3", "5"},
{"2", "4", "1", "6"},
{"1", "2", 
RowBox[{"-", "1"}], "3"},
{"2", "0", "1", "3"}
},
GridBoxAlignment->{"Columns" -> {{Center}}, "Rows" -> {{Baseline}}},
GridBoxSpacings->{"Columns" -> {
Offset[0.27999999999999997`], {
Offset[0.7]}, 
Offset[0.27999999999999997`]}, "Rows" -> {
Offset[0.2], {
Offset[0.4]}, 
Offset[0.2]}}], "", ")"}],
Function[BoxForm`e$, 
MatrixForm[BoxForm`e$]]]\); a = ( {
   {-17, 27, -17, 5},
   {-28, 38, -17, 5},
   {-28, 27, -17, 16},
   {-28, 27, -17, 5}
  } );

Compute the Gaussian Hessenberg-triangular decomposition of the corresponding pencil:

In[17]:=
{q, h, p, t} = ResourceFunction["GaussianHessenbergDecomposition"][{m, a}]
Out[17]=

The matrix h is upper Hessenberg:

In[18]:=
ArrayRules[h]
Out[18]=
In[19]:=
Cases[%[[All, 1]], {i_, j_} /; (i - j > 1)]
Out[19]=

The matrix t is upper triangular:

In[20]:=
ArrayRules[t]
Out[20]=
In[21]:=
Cases[%[[All, 1]], {i_, j_} /; (i - j > 0)]
Out[21]=

The matrix m is given by q.h.p:

In[22]:=
q . h . p - m
Out[22]=

The matrix a is given by q.t.p:

In[23]:=
q . t . p - a
Out[23]=

GaussianHessenbergDecomposition gives a different result from the built-in HessenbergDecomposition:

In[24]:=
m = N[({
     {1, 2, 3, 4},
     {5, 6, 7, 8},
     {9, 10, 11, 12},
     {13, 14, 15, 16}
    })];
In[25]:=
{p1, h1} = ResourceFunction["GaussianHessenbergDecomposition"][m]
Out[25]=
In[26]:=
{p2, h2} = HessenbergDecomposition[m]
Out[26]=

Both decompositions yield upper Hessenberg matrices that are similar to the original matrix:

In[27]:=
MatrixForm /@ {h1, h2}
Out[27]=

HessenbergDecomposition yields a unitary transformation matrix, while GaussianHessenbergDecomposition does not:

In[28]:=
UnitaryMatrixQ /@ {p1, p2}
Out[28]=

Version History

  • 1.0.0 – 17 May 2021

Source Metadata

Related Resources

License Information