Wolfram Function Repository
Instant-use add-on functions for the Wolfram Language
Function Repository Resource:
Explore single-cell atlases by tissue type
ResourceFunction["DISCOSingleCellAtlas"][tissue, "CellData"] gives the dataset of cells for a specified tissue. | |
ResourceFunction["DISCOSingleCellAtlas"][tissue,"GeneExpressionData"] gives the dataset of gene expressions for a specified tissue. |
| Index | unique identifier |
| CellType | type of a cell |
| RNACount | total number of RNA transcripts |
| FeatureRNACount | total number of feature RNA transcripts |
| Tissue | name of a tissue |
| AnatomicalSite | more specific anatomical site, if available |
| UMAP | values to construct Uniform Manifold Approximation and Projection (UMAP) graphs |
| CellType | type of a cell |
| Gene | name of a gene |
| Values | pairs of gene expression and unique molecular identifiers (UMI) values |
Retrieve a cell dataset for adrenal glands:
| In[1]:= |
| Out[1]= | ![]() |
Get a gene expression dataset for the adrenal gland. The dataset is large and will take time to download:
| In[2]:= |
| Out[2]= |
View a sample of the data:
| In[3]:= |
| Out[3]= | ![]() |
Retrieve a cell dataset for adrenal glands:
| In[4]:= |
| Out[4]= | ![]() |
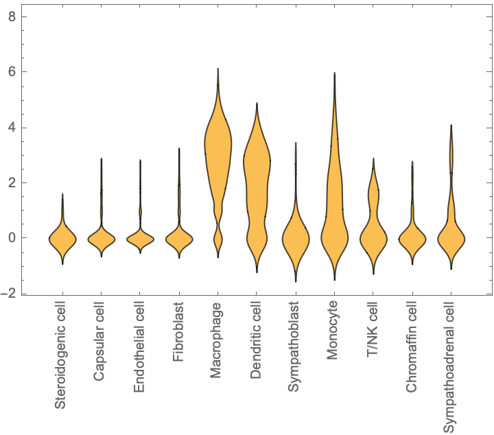
Compare the total number of recorded genes across cells:
| In[5]:= | ![]() |
| Out[6]= | ![]() |
Construct a cell overview atlas using Uniform manifold approximation and projection (UMAP):
| In[7]:= | ![]() |
| Out[8]= | ![]() |
Get a gene expression dataset for the adrenal gland. The dataset is large and will take time to download:
| In[9]:= |
| In[10]:= |
| Out[10]= | ![]() |
Compare gene expressions across cells:
| In[11]:= |
| Out[12]= | ![]() |
Make gene expression matrix for specified genes:
| In[13]:= | ![]() |
| In[14]:= | ![]() |
| In[15]:= | ![]() |
| Out[15]= | ![]() |
Create a plot with bubbles illustrating % expressed in cells:
| In[16]:= | ![]() |
| In[17]:= | ![]() |
| Out[17]= | ![]() |
Wolfram Language 13.0 (December 2021) or above
This work is licensed under a Creative Commons Attribution 4.0 International License