Wolfram Language
Paclet Repository
Community-contributed installable additions to the Wolfram Language
Primary Navigation
Categories
Cloud & Deployment
Core Language & Structure
Data Manipulation & Analysis
Engineering Data & Computation
External Interfaces & Connections
Financial Data & Computation
Geographic Data & Computation
Geometry
Graphs & Networks
Higher Mathematical Computation
Images
Knowledge Representation & Natural Language
Machine Learning
Notebook Documents & Presentation
Scientific and Medical Data & Computation
Social, Cultural & Linguistic Data
Strings & Text
Symbolic & Numeric Computation
System Operation & Setup
Time-Related Computation
User Interface Construction
Visualization & Graphics
Random Paclet
Alphabetical List
Using Paclets
Create a Paclet
Get Started
Download Definition Notebook
Learn More about
Wolfram Language
DiagrammaticComputation
Guides
Diagrams
Tech Notes
Introduction to Diagrammatic Computation
Symbols
ColumnDiagram
DiagramArrange
DiagramComposition
DiagramDecompose
DiagramDraw
DiagramDual
DiagramFlip
DiagramGraphics
DiagramGrid
Diagram
DiagramNetwork
DiagramProduct
DiagramReverse
DiagramSum
IdentityDiagram
PermutationDiagram
PortDual
Port
PortProduct
RowDiagram
ToDiagram
Wolfram`DiagrammaticComputation`
D
i
a
g
r
a
m
N
e
t
w
o
r
k
D
i
a
g
r
a
m
N
e
t
w
o
r
k
[
d
1
,
d
2
,
…
]
c
o
m
p
o
s
e
d
i
a
g
r
a
m
s
i
n
t
o
a
n
e
t
w
o
r
k
.
Examples
(
3
)
Basic Examples
(
1
)
Compose diagrams into a network:
I
n
[
1
]
:
=
D
i
a
g
r
a
m
N
e
t
w
o
r
k
D
i
a
g
r
a
m
[
A
,
{
a
,
b
}
,
d
]
,
D
i
a
g
r
a
m
[
B
,
c
,
a
]
,
D
i
a
g
r
a
m
[
C
,
{
x
,
c
}
,
b
]
,
D
i
a
g
r
a
m
[
C
,
{
x
,
c
}
,
b
]
,
"
B
i
n
a
r
y
S
p
i
d
e
r
s
"
F
a
l
s
e
O
u
t
[
1
]
=
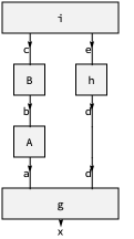
Turn grid diagram into a network:
I
n
[
2
]
:
=
d
i
a
g
r
a
m
=
D
i
a
g
r
a
m
C
o
m
p
o
s
i
t
i
o
n
D
i
a
g
r
a
m
[
"
g
"
,
{
a
,
d
}
,
{
x
}
]
,
D
i
a
g
r
a
m
P
r
o
d
u
c
t
D
i
a
g
r
a
m
C
o
m
p
o
s
i
t
i
o
n
D
i
a
g
r
a
m
[
"
A
"
,
b
,
a
]
,
D
i
a
g
r
a
m
[
"
B
"
,
c
,
b
]
,
D
i
a
g
r
a
m
[
"
h
"
,
e
,
d
]
,
D
i
a
g
r
a
m
[
"
i
"
,
{
c
,
e
}
]
O
u
t
[
2
]
=
I
n
[
3
]
:
=
d
i
a
g
r
a
m
[
"
N
e
t
w
o
r
k
"
]
O
u
t
[
3
]
=
O
p
t
i
o
n
s
(
2
)
S
e
e
A
l
s
o
D
i
a
g
r
a
m
▪
D
i
a
g
r
a
m
P
r
o
d
u
c
t
▪
D
i
a
g
r
a
m
C
o
m
p
o
s
i
t
i
o
n
R
e
l
a
t
e
d
G
u
i
d
e
s
▪
D
i
a
g
r
a
m
s
"
"