Function Repository Resource:

WhewellEquation

Source Notebook

Compute the Whewell equation for a plane curve

Contributed by: Jan Mangaldan

ResourceFunction["WhewellEquation"][c,t,{φ,s}]

computes the Whewell equation for tangential angle φ and arc length s of a plane curve c parametrized by t.

Details

The Whewell equation is a natural equation that expresses a curve in terms of its arc length s and tangential angle φ.

Examples

Basic Examples (2) 

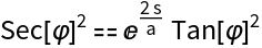
Whewell equation for the tractrix:

In[1]:=
ResourceFunction["WhewellEquation"][
  Entity["PlaneCurve", "Tractrix"]["ParametricEquations"][a][t], t, {\[CurlyPhi], s}] // Simplify
Out[1]=

Whewell equation for the Tschirnhausen cubic:

In[2]:=
ResourceFunction["WhewellEquation"][
  Entity["PlaneCurve", "TschirnhausenCubic"]["ParametricEquations"][
    a][t], t, {\[CurlyPhi], s}] // Simplify
Out[2]=

Version History

  • 1.0.0 – 09 March 2021

Source Metadata

Related Resources

License Information