Function Repository Resource:

StrophoidCurve

Source Notebook

Compute a strophoid curve

Contributed by: Jan Mangaldan

ResourceFunction["StrophoidCurve"][c,p,f]

computes one branch of the strophoid of the curve c with respect to the pole p and fixed point f.

ResourceFunction["StrophoidCurve"][c,p,f,-1]

computes the other branch of the strophoid.

Details

The strophoid of a curve with respect to a pole and a fixed point is the locus of points on a variable line passing through the pole and intersecting the curve, such that their distance from the intersection point is equal to the distance between the intersection point and the fixed point.

Examples

Basic Examples (3) 

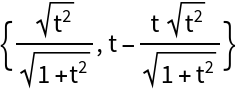
One branch of the strophoid of a vertical line with fixed point at the origin, and pole at {1,0}:

In[1]:=
c1 = ResourceFunction["StrophoidCurve"][{0, t}, {1, 0}, {0, 0}]
Out[1]=

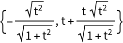
The other branch of the strophoid:

In[2]:=
c2 = ResourceFunction["StrophoidCurve"][{0, t}, {1, 0}, {0, 0}, -1]
Out[2]=

Plot both branches together:

In[3]:=
ParametricPlot[{c1, c2}, {t, -1, 1}]
Out[3]=

Find the implicit Cartesian equation of the strophoid:

In[4]:=
First[GroebnerBasis[Thread[{x, y} == c1], {x, y}, t]] == 0 // Simplify
Out[4]=

The strophoid of a circle with pole at the circle's center, and fixed point at the circle's circumference:

In[5]:=
freeth = ResourceFunction[
    "StrophoidCurve"][{Cos[2 t], Sin[2 t]}, {0, 0}, {1, 0}] // Simplify // PowerExpand
Out[5]=

Plot Freeth's nephroid:

In[6]:=
ParametricPlot[freeth // Evaluate, {t, 0, 2 \[Pi]}]
Out[6]=

The strophoid of a limaçon with pole at the origin, and fixed point at the node of the limaçon:

In[7]:=
freethSuper = ResourceFunction[
     "StrophoidCurve"][{2 Cos[t] Cos[3 t], 2 Cos[t] Sin[3 t]}, {0, 0}, {-1, 0}] // Simplify // PowerExpand // FullSimplify
Out[7]=

Plot Freeth's supertrisectrix:

In[8]:=
ParametricPlot[freethSuper // Evaluate, {t, 0, 2 \[Pi]}, PlotRange -> All]
Out[8]=

Version History

  • 1.0.0 – 09 February 2021

Source Metadata

Related Resources

License Information