Function Repository Resource:

RowSpace

Source Notebook

Compute properties of the row space of a matrix

Contributed by: Wolfram|Alpha Math Team

ResourceFunction["RowSpace"][mat,prop]

returns the row space property prop of the matrix mat.

ResourceFunction["RowSpace"][mat]

returns an association of row space properties of mat.

Details and Options

The allowed values for prop in ResourceFunction["RowSpace"] are "Region", "Basis", "OrthonormalBasis", "Dimension" and All (default).
The basis and orthonormal basis returned by ResourceFunction["RowSpace"] are non-unique; other choices of basis are possible.

Examples

Basic Examples (5) 

Find an orthonormal basis of the row space of a matrix:

In[1]:=
ResourceFunction["RowSpace"][{{1, 2}, {3, 4}}, "OrthonormalBasis"]
Out[1]=

Find another basis of the row space of a matrix:

In[2]:=
ResourceFunction["RowSpace"][{{1, 2}, {3, 4}}, "Basis"]
Out[2]=

Find the dimension of the row space of a matrix:

In[3]:=
ResourceFunction["RowSpace"][{{1, 2}, {3, 4}}, "Dimension"]
Out[3]=

Get a ParametricRegion representation of the row space of a matrix:

In[4]:=
ResourceFunction["RowSpace"][{{1, 2}, {3, 4}}, "Region"]
Out[4]=

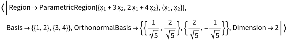
Get all properties of the row space of a matrix:

In[5]:=
ResourceFunction["RowSpace"][{{1, 2}, {3, 4}}, All]
Out[5]=

Scope (1) 

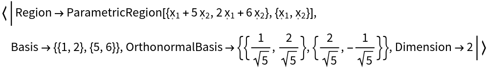
The input matrix to RowSpace need not be square:

In[6]:=
mat = {{1, 2}, {5, 6}, {3, 4}};
In[7]:=
SquareMatrixQ[mat]
Out[7]=
In[8]:=
ResourceFunction["RowSpace"][mat]
Out[8]=

Publisher

Wolfram|Alpha Math Team

Version History

  • 4.0.0 – 23 March 2023
  • 3.1.0 – 12 May 2021
  • 3.0.0 – 24 January 2020
  • 2.0.0 – 06 September 2019
  • 1.0.0 – 26 August 2019

Related Resources

License Information