Function Repository Resource:

RadiusOfAberrancy

Source Notebook

Compute the radius of aberrancy of a plane curve

Contributed by: Jan Mangaldan

ResourceFunction["RadiusOfAberrancy"][c,t]

computes the radius of aberrancy of the plane curve c parametrized by variable t.

Details

The radius of aberrancy of a plane curve at a given point is defined as the signed distance between the point and its corresponding center of aberrancy.

Examples

Basic Examples (3) 

Compute the radius of aberrancy for a curve:

In[1]:=
ResourceFunction["RadiusOfAberrancy"][
  Entity["PlaneCurve", "Tractrix"]["ParametricEquations"][a][t], t] // FullSimplify
Out[1]=

Compute the radius of aberrancy for several curves:

In[2]:=
Grid[FullSimplify[({#1, ResourceFunction[
       "RadiusOfAberrancy"][#1["ParametricEquations"][a][t], t]} &) /@ {Entity["PlaneCurve", "Circle"], Entity["PlaneCurve", "CornuSpiral"], Entity["PlaneCurve", "Cardioid"], Entity["PlaneCurve", "Nephroid"]}, \[Pi]/2 > t > 0]]
Out[2]=

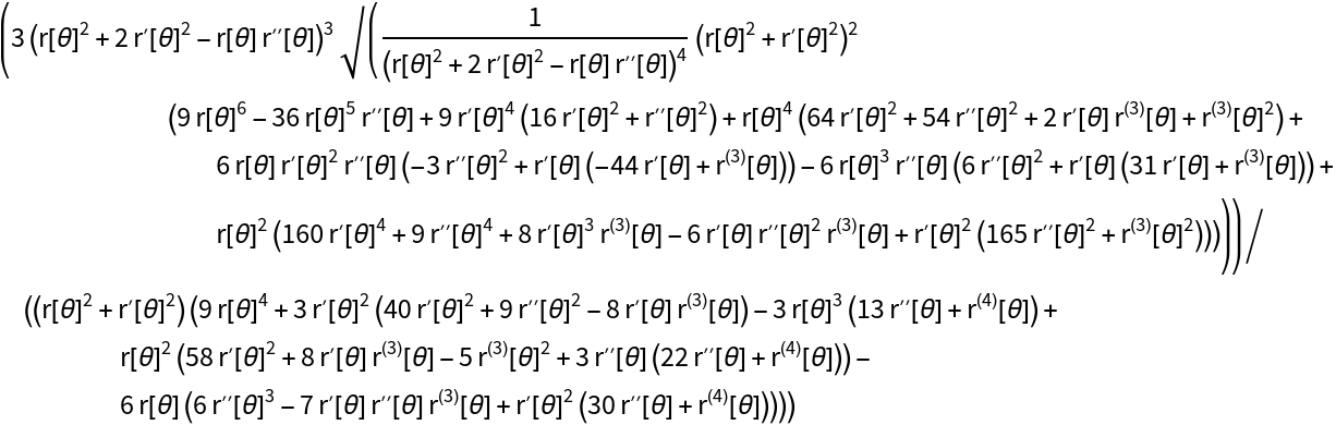
Compute the radius of aberrancy of a curve in polar coordinates:

In[3]:=
ResourceFunction[
  "RadiusOfAberrancy"][{r[\[Theta]] Cos[\[Theta]], r[\[Theta]] Sin[\[Theta]]}, \[Theta]] // FullSimplify
Out[3]=

Properties and Relations (3) 

The radius of aberrancy of a curve at a given point is the signed distance between that point and its corresponding center of aberrancy:

In[4]:=
EuclideanDistance[
   Entity["PlaneCurve", "CornuSpiral"]["ParametricEquations"][1][t], ResourceFunction["AberrancyCurve"][
    Entity["PlaneCurve", "CornuSpiral"]["ParametricEquations"][1][t], t]] == Abs[
   ResourceFunction["RadiusOfAberrancy"][
    Entity["PlaneCurve", "CornuSpiral"]["ParametricEquations"][1][t], t]] /. t -> RandomReal[{-5, 5}]
Out[4]=

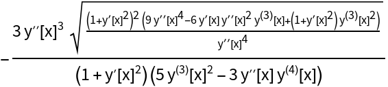
The radius of aberrancy of a curve involves third and fourth derivatives:

In[5]:=
ResourceFunction["RadiusOfAberrancy"][{x, y[x]}, x] // Simplify
Out[5]=

The radius of aberrancy is related to the aberrancy and the tangential angle:

In[6]:=
(* Evaluate this cell to get the example input *) CloudGet["https://www.wolframcloud.com/obj/776f487a-39ac-4215-9214-8c34443c040a"]
Out[6]=

Version History

  • 1.0.0 – 04 March 2021

Source Metadata

Related Resources

License Information