Function Repository Resource:

Pyritohedron

Source Notebook

Create a pyritohedron

Contributed by: Jan Mangaldan

ResourceFunction["Pyritohedron"][h]

returns a pyritohedron with displacement parameter h, represented as a Polyhedron object.

Details

h is usually taken to be between 0 and 1.
A pyritohedron is a dodecahedron with pyritohedral symmetry (point group Th in Schönflies notation).
ResourceFunction["Pyritohedron"][] is equivalent to ResourceFunction["Pyritohedron"][1/2]. This corresponds to an idealized version of a crystal of the mineral pyrite.

Examples

Basic Examples (1) 

A pyritohedron:

In[1]:=
Graphics3D[ResourceFunction["Pyritohedron"][1/2]]
Out[1]=

Applications (2) 

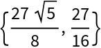
Surface area and volume of a pyritohedron:

In[2]:=
{SurfaceArea[ResourceFunction["Pyritohedron"][]], Volume[ResourceFunction["Pyritohedron"][]]}
Out[2]=

Moment of inertia matrix for a pyritohedron:

In[3]:=
MomentOfInertia[ResourceFunction["Pyritohedron"][]] // MatrixForm
Out[3]=

Properties and Relations (3) 

Pyritohedron[] is equivalent to Pyritohedron[1/2]:

In[4]:=
{Graphics3D[ResourceFunction["Pyritohedron"][]], Graphics3D[ResourceFunction["Pyritohedron"][1/2]]}
Out[4]=

Pyritohedron[1/GoldenRatio] is equivalent to a regular dodecahedron:

In[5]:=
{Graphics3D[ResourceFunction["Pyritohedron"][1/GoldenRatio]], Graphics3D[
  Quiet@TransformedRegion[Dodecahedron[], AffineTransform[
     EulerMatrix[{\[Pi]/2, -ArcCos[2/Sqrt[5] Sin[(2 \[Pi])/5]], 0}]/
      GoldenRatio]]]}
Out[5]=

A pyritohedron is self-dual:

In[6]:=
With[{h = 1/2}, Graphics3D[{ResourceFunction["Pyritohedron"][h], TransformedRegion[ResourceFunction["Pyritohedron"][h], RotationTransform[\[Pi]/2, {0, 0, 1}]]}]]
Out[6]=

Neat Examples (1) 

Show the effect of varying the displacement:

In[7]:=
Manipulate[
 Graphics3D[ResourceFunction["Pyritohedron"][h]], {{h, 1/GoldenRatio},
   0, 1}]
Out[7]=

Version History

  • 1.0.0 – 07 July 2021

Related Resources

License Information