Function Repository Resource:

OsculatingParabola

Source Notebook

Get the osculating parabola of a plane curve

Contributed by: Jan Mangaldan

ResourceFunction["OsculatingParabola"][c,{t,t0},u]

gives the parametric equations with parameter u for the osculating parabola of a plane curve c defined with respect to the variable t at t=t0.

Details

The osculating parabola of a plane curve at a given point is the unique parabola that has third-order contact with the curve at that point.

Examples

Basic Examples (2) 

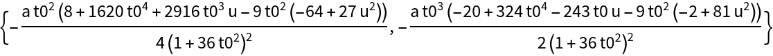
Parametric equations for the osculating parabola of a semicubical parabola:

In[1]:=
para = ResourceFunction["OsculatingParabola"][
   Entity["PlaneCurve", "SemicubicalParabola"]["ParametricEquations"][
     a][t], {t, t0}, u] // Simplify
Out[1]=

Plot the curve and its osculating parabola with the point of contact:

In[2]:=
Show[ParametricPlot[
  Evaluate[Entity["PlaneCurve", "SemicubicalParabola"][
       "ParametricEquations"][a][t] /. a -> 1], {t, -1, 5/4}, PlotStyle -> Thick],
 ParametricPlot[Evaluate[para /. {a -> 1, t0 -> 1}], {u, -5/2, 5/2}, PlotStyle -> Directive[Dashed, ColorData[97, 2]]],
 Graphics[{Directive[ColorData[97, 4], AbsolutePointSize[4]], Point[Entity["PlaneCurve", "SemicubicalParabola"][
        "ParametricEquations"][a][t0] /. {a -> 1, t0 -> 1}]}],
 PlotRange -> All]
Out[2]=

Plot a family of osculating parabolas for a cardioid:

In[3]:=
With[{a = 1},
 Show[Table[
   ParametricPlot[
    Evaluate[
     ResourceFunction["OsculatingParabola"][
      Entity["PlaneCurve", "Cardioid"]["ParametricEquations"][a][
       t], {t, tmp}, u]], {u, -2, 2}, PlotStyle -> Directive[Thin, Red]], {tmp, \[Pi]/20, 2 \[Pi] - \[Pi]/20, \[Pi]/20}], PlotRange -> All]]
Out[3]=

Scope (2) 

Generate the implicit Cartesian equation for the osculating parabola of an ellipse at a given point:

In[4]:=
With[{a = Sqrt[2], b = 1, t0 = \[Pi]/4},
 Eliminate[
  Thread[{x, y} == Simplify[
     ResourceFunction["OsculatingParabola"][
      Entity["PlaneCurve", "Ellipse"]["ParametricEquations"][a, b][
       t], {t, t0}, u]]], u]]
Out[4]=

Show the ellipse, the osculating parabola, and their point of contact:

In[5]:=
ContourPlot[Evaluate[%], {x, -2, 2}, {y, -2, 2},
 Epilog -> Evaluate[{Directive[AbsolutePointSize[5], ColorData[97, 3]], Point[Entity["PlaneCurve", "Ellipse"]["ParametricEquations"][Sqrt[
        2], 1][t] /. t -> \[Pi]/4]}],
 Prolog -> {Directive[FaceForm[], EdgeForm[ColorData[97, 4]]], Ellipsoid[{0, 0}, {Sqrt[2], 1}]}]
Out[5]=

Version History

  • 1.0.0 – 15 February 2021

Source Metadata

Related Resources

License Information