Function Repository Resource:

NewtonCompanionMatrix

Source Notebook

Generate the companion matrix for the Newton interpolating polynomial of a given set of points

Contributed by: Jan Mangaldan

ResourceFunction["NewtonCompanionMatrix"][{f1,f2,}]

yields the Newton companion matrix of an interpolating polynomial which reproduces the function values fi at successive integer values 1, 2, ….

ResourceFunction["NewtonCompanionMatrix"][{{x1,f1},{x2,f2},}]

yields the Newton companion matrix of an interpolating polynomial for the function values fi corresponding to the abscissas xi.

ResourceFunction["NewtonCompanionMatrix"][{{{x1},f1,df1,},}]

yields the Newton companion matrix of an interpolating polynomial that reproduces derivatives as well as function values.

Details

ResourceFunction["NewtonCompanionMatrix"][data] gives an upper Hessenberg matrix whose characteristic polynomial is a scalar multiple of InterpolatingPolynomial[data,x].
The result of ResourceFunction["NewtonCompanionMatrix"] is a SparseArray.
With a list of data of length n, ResourceFunction["NewtonCompanionMatrix"] gives a square matrix with dimensions less than or equal to n-1.

Examples

Basic Examples (2) 

Construct the Newton companion matrix for the squares:

In[1]:=
ResourceFunction["NewtonCompanionMatrix"][{1, 4, 9}] // MatrixForm
Out[1]=

Check its characteristic polynomial:

In[2]:=
CharacteristicPolynomial[%, x]
Out[2]=

Construct the Newton companion matrix corresponding to an interpolating polynomial through three points:

In[3]:=
ResourceFunction[
  "NewtonCompanionMatrix"][{{-1, 4}, {0, 2}, {1, 6}}] // MatrixForm
Out[3]=

The characteristic polynomial is a scalar multiple of the corresponding interpolating polynomial:

In[4]:=
CharacteristicPolynomial[%, x]
Out[4]=
In[5]:=
Expand[(#/Coefficient[#, x, Exponent[#, x]]) &[
  InterpolatingPolynomial[{{-1, 4}, {0, 2}, {1, 6}}, x]]]
Out[5]=

Scope (2) 

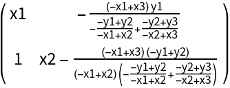
Newton companion matrix for symbolic points:

In[6]:=
ResourceFunction[
  "NewtonCompanionMatrix"][{{x1, y1}, {x2, y2}, {x3, y3}}] // MatrixForm
Out[6]=

Construct the Newton companion matrix for points with derivative information supplied:

In[7]:=
ResourceFunction[
  "NewtonCompanionMatrix"][{{{-1}, 4, 0}, {{0}, 2, -3}, {1, 6}}] // MatrixForm
Out[7]=

Applications (2) 

Find the roots of an interpolating polynomial by computing the eigenvalues of a Newton companion matrix:

In[8]:=
Eigenvalues[
 N[ResourceFunction[
   "NewtonCompanionMatrix"][{{{-1}, 4, 0}, {{0}, 2, -3}, {1, 6}}]]]
Out[8]=

Compare with the result of using NSolve:

In[9]:=
x /. NSolve[
  InterpolatingPolynomial[{{{-1}, 4, 0}, {{0}, 2, -3}, {1, 6}}, x], x]
Out[9]=

Properties and Relations (2) 

The dimensions of a Newton companion matrix might be much less than the number of points supplied:

In[10]:=
pts = {{-1, -4}, {-(2/3), -(107/27)}, {-(1/3), -(118/
     27)}, {0, -5}, {1/3, -(152/27)}, {2/3, -(163/27)}, {1, -6}};
ResourceFunction["NewtonCompanionMatrix"][pts] // MatrixForm
Out[10]=
In[11]:=
Dimensions[%]
Out[11]=

In this case, the corresponding interpolating polynomial has degree 3:

In[12]:=
Expand[InterpolatingPolynomial[pts, x]]
Out[12]=

Version History

  • 1.0.0 – 26 April 2021

Source Metadata

Related Resources

License Information