Wolfram Research

Function Repository Resource:

MetamathImport (2.0.0) current version: 2.1.0 »

Source Notebook

Import and work with a Metamath database

Contributed by: Mario Carneiro and Nikolay Murzin

ResourceFunction["MetamathImport"][src]

imports Metamath source code from src and returns a MetamathObject.

Details and Options

The src can be a File, URL or String.
Options for ResourceFunction["MetamathImport"] may be one of the following:
"Verify"Falsewhether to verify theorem proofs or not
MetamathObject has the following properties:
"Symbols"list of symbols
"Constants"list of constants
"Variables"list of variables
"Statements"list of statements
"Axioms"list of axioms
"Theorems"list of theorems
"Definitions"list of definitions
"DependencyGraph"theorem proof dependency graph
{"SyntaxTree", stmt}syntax breakdown tree of a statement
{"SyntaxDependencyTree", stmt}syntax dependency tree of a statement
{"SimpleSyntaxTree", stmt}simplified syntax tree
{"ProofTree", thm}proof tree of a theorem
{"ProofGraph", thm}proof graph of a theorem
{"TokenEventGraph", thm}token event proof graph of a theorem
ResourceFunction["MetamathImport"] special inputs:
"SetMM"setmm database
"NormMegillWolframAxioms"Norm Megill's proofs of the Wolfram Axioms
"ASCIITable"ASCII replacement rules

Examples

Basic Examples (6) 

Import Metamath source code with several constants and a simple axiom:

In[1]:=
ResourceFunction["MetamathImport"]["
 $c = 0 S 1 $.
 wp $a = 0 S 1 $.
 "]
Out[1]=

Import a basic Metamath source code sample with 4 constants, 5 variables, 5 floating hypotheses, 1 axiom and 2 proved theorems:

In[2]:=
ResourceFunction["MetamathImport"]["
$c ( ) -> wff $.
$v p q r s t $.
wp $f wff p $.
wq $f wff q $.
wr $f wff r $.
ws $f wff s $.
wt $f wff t $.
w-> $a wff ( p -> q ) $.
w->(->) $p wff ( r -> ( s -> t ) ) $= wr ws wt w-> w-> $.
w(->)-> $p wff ( ( r -> s ) -> t ) $= wr ws w-> wt w-> $.
"]
Out[2]=

Construct a proof tree:

In[3]:=
ResourceFunction[
InterpretationBox[
TagBox[
DynamicModuleBox[{Typeset`open = False}, 
FrameBox[
PaneSelectorBox[{False -> GridBox[{{
PaneBox[
GridBox[{{
AdjustmentBox[
StyleBox[
StyleBox[
StyleBox[
                   "\"[\[FilledSmallSquare]]\"", FontColor -> RGBColor[
                    0.8745098039215686, 0.2784313725490196, 0.03137254901960784]], "ResourceFunctionIcon"], FontFamily -> "Source Sans Pro Black", FontWeight -> "Heavy", PrivateFontOptions -> {"OperatorSubstitution" -> False}, FontSize -> 0.6538461538461539 Inherited, ShowStringCharacters -> False], BoxBaselineShift -> -0.25, BoxMargins -> {{0, 0}, {-1, -1}}], 
StyleBox[
RowBox[{
StyleBox["MetamathImport", "ResourceFunctionLabel"], " "}], FontColor -> GrayLevel[0.1], FontSize -> Rational[12, 13] Inherited, ShowStringCharacters -> False, ShowAutoStyles -> False]}}, GridBoxSpacings -> {"Columns" -> {{0.25}}}], Alignment -> Left, FrameMargins -> {{3, 0}, {0, 0}}, BaselinePosition -> Baseline, BaseStyle -> {LineSpacing -> {0, 0}, LineBreakWithin -> False}], 
ItemBox[
PaneBox[
TogglerBox[
Dynamic[Typeset`open], {True -> DynamicBox[
FEPrivate`FrontEndResource["FEBitmaps", "IconizeCloser"]], False -> DynamicBox[
FEPrivate`FrontEndResource["FEBitmaps", "IconizeOpener"]]}, BaselinePosition -> Baseline, Appearance -> None, ContentPadding -> False, FrameMargins -> 0], Alignment -> Left, FrameMargins -> {{1, 1}, {0, 0}}, BaselinePosition -> Baseline], Frame -> {{
RGBColor[
                0.8313725490196079, 0.8470588235294118, 0.8509803921568627, 0.5], False}, {False, False}}]}},
           GridBoxAlignment -> {"Columns" -> {{Left}}, "Rows" -> {{Baseline}}}, GridBoxItemSize -> {"Columns" -> {{Automatic}}, "Rows" -> {{Automatic}}}, GridBoxSpacings -> {"Columns" -> {{0}}, "Rows" -> {{0}}}, BaselinePosition -> {1, 1}], True -> GridBox[{{
GridBox[{{
PaneBox[
GridBox[{{
AdjustmentBox[
StyleBox[
StyleBox[
StyleBox[
                    "\"[\[FilledSmallSquare]]\"", FontColor -> RGBColor[
                    0.8745098039215686, 0.2784313725490196, 0.03137254901960784]], "ResourceFunctionIcon"], FontFamily -> "Source Sans Pro Black", FontWeight -> "Heavy", PrivateFontOptions -> {"OperatorSubstitution" -> False}, FontSize -> 0.6538461538461539 Inherited, ShowStringCharacters -> False], BoxBaselineShift -> -0.25, BoxMargins -> {{0, 0}, {-1, -1}}], 
StyleBox[
RowBox[{
StyleBox["MetamathImport", "ResourceFunctionLabel"], " "}], FontColor -> GrayLevel[0.1], FontSize -> Rational[12, 13] Inherited, ShowStringCharacters -> False, ShowAutoStyles -> False]}}, GridBoxSpacings -> {"Columns" -> {{0.25}}}], Alignment -> Left, FrameMargins -> {{3, 0}, {0, 0}}, BaselinePosition -> Baseline, BaseStyle -> {LineSpacing -> {0, 0}, LineBreakWithin -> False}], 
ItemBox[
PaneBox[
TogglerBox[
Dynamic[Typeset`open], {True -> DynamicBox[
FEPrivate`FrontEndResource["FEBitmaps", "IconizeCloser"]], False -> DynamicBox[
FEPrivate`FrontEndResource["FEBitmaps", "IconizeOpener"]]}, BaselinePosition -> Baseline, Appearance -> None, ContentPadding -> False, FrameMargins -> 0], Alignment -> Left, FrameMargins -> {{1, 1}, {0, 0}}, BaselinePosition -> Baseline], Frame -> {{
RGBColor[
                   0.8313725490196079, 0.8470588235294118, 0.8509803921568627, 0.5], False}, {False, False}}]}}, GridBoxAlignment -> {"Columns" -> {{Left}}, "Rows" -> {{Baseline}}}, GridBoxItemSize -> {"Columns" -> {{Automatic}}, "Rows" -> {{Automatic}}}, GridBoxSpacings -> {"Columns" -> {{0}}, "Rows" -> {{0}}},
              BaselinePosition -> {1, 1}]}, {
StyleBox[
PaneBox[
GridBox[{{
RowBox[{
TagBox["\"Version (latest): \"", "IconizedLabel"], " ", 
TagBox["\"2.0.0\"", "IconizedItem"]}]}, {
TagBox[
TemplateBox[{"\"Documentation »\"", "https://resources.wolframcloud.com/FunctionRepository/resources/b78a92a5-6ec3-462b-bcdc-a0971c7ea539/"}, "HyperlinkURL"], "IconizedItem"]}}, GridBoxAlignment -> {"Columns" -> {{Left}}}, DefaultBaseStyle -> "Column", GridBoxItemSize -> {"Columns" -> {{Automatic}}, "Rows" -> {{Automatic}}}], Alignment -> Left, FrameMargins -> {{5, 4}, {0, 4}}, BaselinePosition -> Baseline], "DialogStyle", FontFamily -> "Roboto", FontSize -> 11]}}, GridBoxAlignment -> {"Columns" -> {{Left}}, "Rows" -> {{Baseline}}}, GridBoxItemSize -> {"Columns" -> {{Automatic}}, "Rows" -> {{Automatic}}}, BaselinePosition -> {1, 1}, GridBoxDividers -> {"Columns" -> {{None}}, "Rows" -> {False, {
GrayLevel[0.8]}, False}}]}, 
Dynamic[Typeset`open], BaselinePosition -> Baseline, ImageSize -> Automatic], BaselinePosition -> Baseline, FrameMargins -> {{0, 0}, {1, 0}}, FrameStyle -> RGBColor[
       0.8313725490196079, 0.8470588235294118, 0.8509803921568627], Background -> RGBColor[
       0.9686274509803922, 0.9764705882352941, 0.984313725490196], RoundingRadius -> 4, DefaultBaseStyle -> {}]], {"FunctionResourceBox", 
RGBColor[0.8745098039215686, 0.2784313725490196, 0.03137254901960784],
      "MetamathImport"}, TagBoxNote -> "FunctionResourceBox"], 
ResourceFunction["MetamathImport"], BoxID -> "MetamathImport", Selectable -> False]][<|"Symbols" -> <|"(" -> "Constant"["("], ")" -> "Constant"[")"], "->" -> "Constant"["->"], "wff" -> "Constant"["wff"], "p" -> "Variable"["p"], "q" -> "Variable"["q"], "r" -> "Variable"["r"], "s" -> "Variable"["s"], "t" -> "Variable"["t"]|>, "Statements" -> <|"wp" -> "Hypothesis"["wp", {"wff", "p"}], "wq" -> "Hypothesis"["wq", {"wff", "q"}], "wr" -> "Hypothesis"["wr", {"wff", "r"}], "ws" -> "Hypothesis"["ws", {"wff", "s"}], "wt" -> "Hypothesis"["wt", {"wff", "t"}], "w->" -> "Axiom"["w->", {"wff", "(", "p", "->", "q", ")"}, {{}, {
"Hypothesis"["wp", {"wff", "p"}], 
"Hypothesis"["wq", {"wff", "q"}]}, {}}], "w->(->)" -> "Theorem"[
      "w->(->)", {"wff", "(", "r", "->", "(", "s", "->", "t", ")", ")"}, {{}, {
"Hypothesis"["wr", {"wff", "r"}], 
"Hypothesis"["ws", {"wff", "s"}], 
"Hypothesis"["wt", {"wff", "t"}]}, {}}, {"wr", "ws", "wt", "w->", "w->"}], "w(->)->" -> "Theorem"[
      "w(->)->", {"wff", "(", "(", "r", "->", "s", ")", "->", "t", ")"}, {{}, {
"Hypothesis"["wr", {"wff", "r"}], 
"Hypothesis"["ws", {"wff", "s"}], 
"Hypothesis"["wt", {"wff", "t"}]}, {}}, {"wr", "ws", "w->", "wt", "w->"}]|>|>]["ProofTree", "w(->)->"]
Out[3]=

Construct a proof graph:

In[4]:=
ResourceFunction[
InterpretationBox[
TagBox[
DynamicModuleBox[{Typeset`open = False}, 
FrameBox[
PaneSelectorBox[{False -> GridBox[{{
PaneBox[
GridBox[{{
AdjustmentBox[
StyleBox[
StyleBox[
StyleBox[
                   "\"[\[FilledSmallSquare]]\"", FontColor -> RGBColor[
                    0.8745098039215686, 0.2784313725490196, 0.03137254901960784]], "ResourceFunctionIcon"], FontFamily -> "Source Sans Pro Black", FontWeight -> "Heavy", PrivateFontOptions -> {"OperatorSubstitution" -> False}, FontSize -> 0.6538461538461539 Inherited, ShowStringCharacters -> False], BoxBaselineShift -> -0.25, BoxMargins -> {{0, 0}, {-1, -1}}], 
StyleBox[
RowBox[{
StyleBox["MetamathImport", "ResourceFunctionLabel"], " "}], FontColor -> GrayLevel[0.1], FontSize -> Rational[12, 13] Inherited, ShowStringCharacters -> False, ShowAutoStyles -> False]}}, GridBoxSpacings -> {"Columns" -> {{0.25}}}], Alignment -> Left, FrameMargins -> {{3, 0}, {0, 0}}, BaselinePosition -> Baseline, BaseStyle -> {LineSpacing -> {0, 0}, LineBreakWithin -> False}], 
ItemBox[
PaneBox[
TogglerBox[
Dynamic[Typeset`open], {True -> DynamicBox[
FEPrivate`FrontEndResource["FEBitmaps", "IconizeCloser"]], False -> DynamicBox[
FEPrivate`FrontEndResource["FEBitmaps", "IconizeOpener"]]}, BaselinePosition -> Baseline, Appearance -> None, ContentPadding -> False, FrameMargins -> 0], Alignment -> Left, FrameMargins -> {{1, 1}, {0, 0}}, BaselinePosition -> Baseline], Frame -> {{
RGBColor[
                0.8313725490196079, 0.8470588235294118, 0.8509803921568627, 0.5], False}, {False, False}}]}},
           GridBoxAlignment -> {"Columns" -> {{Left}}, "Rows" -> {{Baseline}}}, GridBoxItemSize -> {"Columns" -> {{Automatic}}, "Rows" -> {{Automatic}}}, GridBoxSpacings -> {"Columns" -> {{0}}, "Rows" -> {{0}}}, BaselinePosition -> {1, 1}], True -> GridBox[{{
GridBox[{{
PaneBox[
GridBox[{{
AdjustmentBox[
StyleBox[
StyleBox[
StyleBox[
                    "\"[\[FilledSmallSquare]]\"", FontColor -> RGBColor[
                    0.8745098039215686, 0.2784313725490196, 0.03137254901960784]], "ResourceFunctionIcon"], FontFamily -> "Source Sans Pro Black", FontWeight -> "Heavy", PrivateFontOptions -> {"OperatorSubstitution" -> False}, FontSize -> 0.6538461538461539 Inherited, ShowStringCharacters -> False], BoxBaselineShift -> -0.25, BoxMargins -> {{0, 0}, {-1, -1}}], 
StyleBox[
RowBox[{
StyleBox["MetamathImport", "ResourceFunctionLabel"], " "}], FontColor -> GrayLevel[0.1], FontSize -> Rational[12, 13] Inherited, ShowStringCharacters -> False, ShowAutoStyles -> False]}}, GridBoxSpacings -> {"Columns" -> {{0.25}}}], Alignment -> Left, FrameMargins -> {{3, 0}, {0, 0}}, BaselinePosition -> Baseline, BaseStyle -> {LineSpacing -> {0, 0}, LineBreakWithin -> False}], 
ItemBox[
PaneBox[
TogglerBox[
Dynamic[Typeset`open], {True -> DynamicBox[
FEPrivate`FrontEndResource["FEBitmaps", "IconizeCloser"]], False -> DynamicBox[
FEPrivate`FrontEndResource["FEBitmaps", "IconizeOpener"]]}, BaselinePosition -> Baseline, Appearance -> None, ContentPadding -> False, FrameMargins -> 0], Alignment -> Left, FrameMargins -> {{1, 1}, {0, 0}}, BaselinePosition -> Baseline], Frame -> {{
RGBColor[
                   0.8313725490196079, 0.8470588235294118, 0.8509803921568627, 0.5], False}, {False, False}}]}}, GridBoxAlignment -> {"Columns" -> {{Left}}, "Rows" -> {{Baseline}}}, GridBoxItemSize -> {"Columns" -> {{Automatic}}, "Rows" -> {{Automatic}}}, GridBoxSpacings -> {"Columns" -> {{0}}, "Rows" -> {{0}}},
              BaselinePosition -> {1, 1}]}, {
StyleBox[
PaneBox[
GridBox[{{
RowBox[{
TagBox["\"Version (latest): \"", "IconizedLabel"], " ", 
TagBox["\"2.0.0\"", "IconizedItem"]}]}, {
TagBox[
TemplateBox[{"\"Documentation »\"", "https://resources.wolframcloud.com/FunctionRepository/resources/b78a92a5-6ec3-462b-bcdc-a0971c7ea539/"}, "HyperlinkURL"], "IconizedItem"]}}, GridBoxAlignment -> {"Columns" -> {{Left}}}, DefaultBaseStyle -> "Column", GridBoxItemSize -> {"Columns" -> {{Automatic}}, "Rows" -> {{Automatic}}}], Alignment -> Left, FrameMargins -> {{5, 4}, {0, 4}}, BaselinePosition -> Baseline], "DialogStyle", FontFamily -> "Roboto", FontSize -> 11]}}, GridBoxAlignment -> {"Columns" -> {{Left}}, "Rows" -> {{Baseline}}}, GridBoxItemSize -> {"Columns" -> {{Automatic}}, "Rows" -> {{Automatic}}}, BaselinePosition -> {1, 1}, GridBoxDividers -> {"Columns" -> {{None}}, "Rows" -> {False, {
GrayLevel[0.8]}, False}}]}, 
Dynamic[Typeset`open], BaselinePosition -> Baseline, ImageSize -> Automatic], BaselinePosition -> Baseline, FrameMargins -> {{0, 0}, {1, 0}}, FrameStyle -> RGBColor[
       0.8313725490196079, 0.8470588235294118, 0.8509803921568627], Background -> RGBColor[
       0.9686274509803922, 0.9764705882352941, 0.984313725490196], RoundingRadius -> 4, DefaultBaseStyle -> {}]], {"FunctionResourceBox", 
RGBColor[0.8745098039215686, 0.2784313725490196, 0.03137254901960784],
      "MetamathImport"}, TagBoxNote -> "FunctionResourceBox"], 
ResourceFunction["MetamathImport"], BoxID -> "MetamathImport", Selectable -> False]][<|"Symbols" -> <|"(" -> "Constant"["("], ")" -> "Constant"[")"], "->" -> "Constant"["->"], "wff" -> "Constant"["wff"], "p" -> "Variable"["p"], "q" -> "Variable"["q"], "r" -> "Variable"["r"], "s" -> "Variable"["s"], "t" -> "Variable"["t"]|>, "Statements" -> <|"wp" -> "Hypothesis"["wp", {"wff", "p"}], "wq" -> "Hypothesis"["wq", {"wff", "q"}], "wr" -> "Hypothesis"["wr", {"wff", "r"}], "ws" -> "Hypothesis"["ws", {"wff", "s"}], "wt" -> "Hypothesis"["wt", {"wff", "t"}], "w->" -> "Axiom"["w->", {"wff", "(", "p", "->", "q", ")"}, {{}, {
"Hypothesis"["wp", {"wff", "p"}], 
"Hypothesis"["wq", {"wff", "q"}]}, {}}], "w->(->)" -> "Theorem"[
      "w->(->)", {"wff", "(", "r", "->", "(", "s", "->", "t", ")", ")"}, {{}, {
"Hypothesis"["wr", {"wff", "r"}], 
"Hypothesis"["ws", {"wff", "s"}], 
"Hypothesis"["wt", {"wff", "t"}]}, {}}, {"wr", "ws", "wt", "w->", "w->"}], "w(->)->" -> "Theorem"[
      "w(->)->", {"wff", "(", "(", "r", "->", "s", ")", "->", "t", ")"}, {{}, {
"Hypothesis"["wr", {"wff", "r"}], 
"Hypothesis"["ws", {"wff", "s"}], 
"Hypothesis"["wt", {"wff", "t"}]}, {}}, {"wr", "ws", "w->", "wt", "w->"}]|>|>]["ProofGraph", "w(->)->"]
Out[4]=

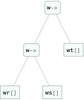
Construct a detailed syntax tree breakdown:

In[5]:=
ResourceFunction[
InterpretationBox[
TagBox[
DynamicModuleBox[{Typeset`open = False}, 
FrameBox[
PaneSelectorBox[{False -> GridBox[{{
PaneBox[
GridBox[{{
AdjustmentBox[
StyleBox[
StyleBox[
StyleBox[
                   "\"[\[FilledSmallSquare]]\"", FontColor -> RGBColor[
                    0.8745098039215686, 0.2784313725490196, 0.03137254901960784]], "ResourceFunctionIcon"], FontFamily -> "Source Sans Pro Black", FontWeight -> "Heavy", PrivateFontOptions -> {"OperatorSubstitution" -> False}, FontSize -> 0.6538461538461539 Inherited, ShowStringCharacters -> False], BoxBaselineShift -> -0.25, BoxMargins -> {{0, 0}, {-1, -1}}], 
StyleBox[
RowBox[{
StyleBox["MetamathImport", "ResourceFunctionLabel"], " "}], FontColor -> GrayLevel[0.1], FontSize -> Rational[12, 13] Inherited, ShowStringCharacters -> False, ShowAutoStyles -> False]}}, GridBoxSpacings -> {"Columns" -> {{0.25}}}], Alignment -> Left, FrameMargins -> {{3, 0}, {0, 0}}, BaselinePosition -> Baseline, BaseStyle -> {LineSpacing -> {0, 0}, LineBreakWithin -> False}], 
ItemBox[
PaneBox[
TogglerBox[
Dynamic[Typeset`open], {True -> DynamicBox[
FEPrivate`FrontEndResource["FEBitmaps", "IconizeCloser"]], False -> DynamicBox[
FEPrivate`FrontEndResource["FEBitmaps", "IconizeOpener"]]}, BaselinePosition -> Baseline, Appearance -> None, ContentPadding -> False, FrameMargins -> 0], Alignment -> Left, FrameMargins -> {{1, 1}, {0, 0}}, BaselinePosition -> Baseline], Frame -> {{
RGBColor[
                0.8313725490196079, 0.8470588235294118, 0.8509803921568627, 0.5], False}, {False, False}}]}},
           GridBoxAlignment -> {"Columns" -> {{Left}}, "Rows" -> {{Baseline}}}, GridBoxItemSize -> {"Columns" -> {{Automatic}}, "Rows" -> {{Automatic}}}, GridBoxSpacings -> {"Columns" -> {{0}}, "Rows" -> {{0}}}, BaselinePosition -> {1, 1}], True -> GridBox[{{
GridBox[{{
PaneBox[
GridBox[{{
AdjustmentBox[
StyleBox[
StyleBox[
StyleBox[
                    "\"[\[FilledSmallSquare]]\"", FontColor -> RGBColor[
                    0.8745098039215686, 0.2784313725490196, 0.03137254901960784]], "ResourceFunctionIcon"], FontFamily -> "Source Sans Pro Black", FontWeight -> "Heavy", PrivateFontOptions -> {"OperatorSubstitution" -> False}, FontSize -> 0.6538461538461539 Inherited, ShowStringCharacters -> False], BoxBaselineShift -> -0.25, BoxMargins -> {{0, 0}, {-1, -1}}], 
StyleBox[
RowBox[{
StyleBox["MetamathImport", "ResourceFunctionLabel"], " "}], FontColor -> GrayLevel[0.1], FontSize -> Rational[12, 13] Inherited, ShowStringCharacters -> False, ShowAutoStyles -> False]}}, GridBoxSpacings -> {"Columns" -> {{0.25}}}], Alignment -> Left, FrameMargins -> {{3, 0}, {0, 0}}, BaselinePosition -> Baseline, BaseStyle -> {LineSpacing -> {0, 0}, LineBreakWithin -> False}], 
ItemBox[
PaneBox[
TogglerBox[
Dynamic[Typeset`open], {True -> DynamicBox[
FEPrivate`FrontEndResource["FEBitmaps", "IconizeCloser"]], False -> DynamicBox[
FEPrivate`FrontEndResource["FEBitmaps", "IconizeOpener"]]}, BaselinePosition -> Baseline, Appearance -> None, ContentPadding -> False, FrameMargins -> 0], Alignment -> Left, FrameMargins -> {{1, 1}, {0, 0}}, BaselinePosition -> Baseline], Frame -> {{
RGBColor[
                   0.8313725490196079, 0.8470588235294118, 0.8509803921568627, 0.5], False}, {False, False}}]}}, GridBoxAlignment -> {"Columns" -> {{Left}}, "Rows" -> {{Baseline}}}, GridBoxItemSize -> {"Columns" -> {{Automatic}}, "Rows" -> {{Automatic}}}, GridBoxSpacings -> {"Columns" -> {{0}}, "Rows" -> {{0}}},
              BaselinePosition -> {1, 1}]}, {
StyleBox[
PaneBox[
GridBox[{{
RowBox[{
TagBox["\"Version (latest): \"", "IconizedLabel"], " ", 
TagBox["\"2.0.0\"", "IconizedItem"]}]}, {
TagBox[
TemplateBox[{"\"Documentation »\"", "https://resources.wolframcloud.com/FunctionRepository/resources/b78a92a5-6ec3-462b-bcdc-a0971c7ea539/"}, "HyperlinkURL"], "IconizedItem"]}}, GridBoxAlignment -> {"Columns" -> {{Left}}}, DefaultBaseStyle -> "Column", GridBoxItemSize -> {"Columns" -> {{Automatic}}, "Rows" -> {{Automatic}}}], Alignment -> Left, FrameMargins -> {{5, 4}, {0, 4}}, BaselinePosition -> Baseline], "DialogStyle", FontFamily -> "Roboto", FontSize -> 11]}}, GridBoxAlignment -> {"Columns" -> {{Left}}, "Rows" -> {{Baseline}}}, GridBoxItemSize -> {"Columns" -> {{Automatic}}, "Rows" -> {{Automatic}}}, BaselinePosition -> {1, 1}, GridBoxDividers -> {"Columns" -> {{None}}, "Rows" -> {False, {
GrayLevel[0.8]}, False}}]}, 
Dynamic[Typeset`open], BaselinePosition -> Baseline, ImageSize -> Automatic], BaselinePosition -> Baseline, FrameMargins -> {{0, 0}, {1, 0}}, FrameStyle -> RGBColor[
       0.8313725490196079, 0.8470588235294118, 0.8509803921568627], Background -> RGBColor[
       0.9686274509803922, 0.9764705882352941, 0.984313725490196], RoundingRadius -> 4, DefaultBaseStyle -> {}]], {"FunctionResourceBox", 
RGBColor[0.8745098039215686, 0.2784313725490196, 0.03137254901960784],
      "MetamathImport"}, TagBoxNote -> "FunctionResourceBox"], 
ResourceFunction["MetamathImport"], BoxID -> "MetamathImport", Selectable -> False]][<|"Symbols" -> <|"(" -> "Constant"["("], ")" -> "Constant"[")"], "->" -> "Constant"["->"], "wff" -> "Constant"["wff"], "p" -> "Variable"["p"], "q" -> "Variable"["q"], "r" -> "Variable"["r"], "s" -> "Variable"["s"], "t" -> "Variable"["t"]|>, "Statements" -> <|"wp" -> "Hypothesis"["wp", {"wff", "p"}], "wq" -> "Hypothesis"["wq", {"wff", "q"}], "wr" -> "Hypothesis"["wr", {"wff", "r"}], "ws" -> "Hypothesis"["ws", {"wff", "s"}], "wt" -> "Hypothesis"["wt", {"wff", "t"}], "w->" -> "Axiom"["w->", {"wff", "(", "p", "->", "q", ")"}, {{}, {
"Hypothesis"["wp", {"wff", "p"}], 
"Hypothesis"["wq", {"wff", "q"}]}, {}}], "w->(->)" -> "Theorem"[
      "w->(->)", {"wff", "(", "r", "->", "(", "s", "->", "t", ")", ")"}, {{}, {
"Hypothesis"["wr", {"wff", "r"}], 
"Hypothesis"["ws", {"wff", "s"}], 
"Hypothesis"["wt", {"wff", "t"}]}, {}}, {"wr", "ws", "wt", "w->", "w->"}], "w(->)->" -> "Theorem"[
      "w(->)->", {"wff", "(", "(", "r", "->", "s", ")", "->", "t", ")"}, {{}, {
"Hypothesis"["wr", {"wff", "r"}], 
"Hypothesis"["ws", {"wff", "s"}], 
"Hypothesis"["wt", {"wff", "t"}]}, {}}, {"wr", "ws", "w->", "wt", "w->"}]|>|>]["SyntaxTree", "w(->)->"]
Out[5]=

Construct a simplified syntax tree:

In[6]:=
ResourceFunction[
InterpretationBox[
TagBox[
DynamicModuleBox[{Typeset`open = False}, 
FrameBox[
PaneSelectorBox[{False -> GridBox[{{
PaneBox[
GridBox[{{
AdjustmentBox[
StyleBox[
StyleBox[
StyleBox[
                   "\"[\[FilledSmallSquare]]\"", FontColor -> RGBColor[
                    0.8745098039215686, 0.2784313725490196, 0.03137254901960784]], "ResourceFunctionIcon"], FontFamily -> "Source Sans Pro Black", FontWeight -> "Heavy", PrivateFontOptions -> {"OperatorSubstitution" -> False}, FontSize -> 0.6538461538461539 Inherited, ShowStringCharacters -> False], BoxBaselineShift -> -0.25, BoxMargins -> {{0, 0}, {-1, -1}}], 
StyleBox[
RowBox[{
StyleBox["MetamathImport", "ResourceFunctionLabel"], " "}], FontColor -> GrayLevel[0.1], FontSize -> Rational[12, 13] Inherited, ShowStringCharacters -> False, ShowAutoStyles -> False]}}, GridBoxSpacings -> {"Columns" -> {{0.25}}}], Alignment -> Left, FrameMargins -> {{3, 0}, {0, 0}}, BaselinePosition -> Baseline, BaseStyle -> {LineSpacing -> {0, 0}, LineBreakWithin -> False}], 
ItemBox[
PaneBox[
TogglerBox[
Dynamic[Typeset`open], {True -> DynamicBox[
FEPrivate`FrontEndResource["FEBitmaps", "IconizeCloser"]], False -> DynamicBox[
FEPrivate`FrontEndResource["FEBitmaps", "IconizeOpener"]]}, BaselinePosition -> Baseline, Appearance -> None, ContentPadding -> False, FrameMargins -> 0], Alignment -> Left, FrameMargins -> {{1, 1}, {0, 0}}, BaselinePosition -> Baseline], Frame -> {{
RGBColor[
                0.8313725490196079, 0.8470588235294118, 0.8509803921568627, 0.5], False}, {False, False}}]}},
           GridBoxAlignment -> {"Columns" -> {{Left}}, "Rows" -> {{Baseline}}}, GridBoxItemSize -> {"Columns" -> {{Automatic}}, "Rows" -> {{Automatic}}}, GridBoxSpacings -> {"Columns" -> {{0}}, "Rows" -> {{0}}}, BaselinePosition -> {1, 1}], True -> GridBox[{{
GridBox[{{
PaneBox[
GridBox[{{
AdjustmentBox[
StyleBox[
StyleBox[
StyleBox[
                    "\"[\[FilledSmallSquare]]\"", FontColor -> RGBColor[
                    0.8745098039215686, 0.2784313725490196, 0.03137254901960784]], "ResourceFunctionIcon"], FontFamily -> "Source Sans Pro Black", FontWeight -> "Heavy", PrivateFontOptions -> {"OperatorSubstitution" -> False}, FontSize -> 0.6538461538461539 Inherited, ShowStringCharacters -> False], BoxBaselineShift -> -0.25, BoxMargins -> {{0, 0}, {-1, -1}}], 
StyleBox[
RowBox[{
StyleBox["MetamathImport", "ResourceFunctionLabel"], " "}], FontColor -> GrayLevel[0.1], FontSize -> Rational[12, 13] Inherited, ShowStringCharacters -> False, ShowAutoStyles -> False]}}, GridBoxSpacings -> {"Columns" -> {{0.25}}}], Alignment -> Left, FrameMargins -> {{3, 0}, {0, 0}}, BaselinePosition -> Baseline, BaseStyle -> {LineSpacing -> {0, 0}, LineBreakWithin -> False}], 
ItemBox[
PaneBox[
TogglerBox[
Dynamic[Typeset`open], {True -> DynamicBox[
FEPrivate`FrontEndResource["FEBitmaps", "IconizeCloser"]], False -> DynamicBox[
FEPrivate`FrontEndResource["FEBitmaps", "IconizeOpener"]]}, BaselinePosition -> Baseline, Appearance -> None, ContentPadding -> False, FrameMargins -> 0], Alignment -> Left, FrameMargins -> {{1, 1}, {0, 0}}, BaselinePosition -> Baseline], Frame -> {{
RGBColor[
                   0.8313725490196079, 0.8470588235294118, 0.8509803921568627, 0.5], False}, {False, False}}]}}, GridBoxAlignment -> {"Columns" -> {{Left}}, "Rows" -> {{Baseline}}}, GridBoxItemSize -> {"Columns" -> {{Automatic}}, "Rows" -> {{Automatic}}}, GridBoxSpacings -> {"Columns" -> {{0}}, "Rows" -> {{0}}},
              BaselinePosition -> {1, 1}]}, {
StyleBox[
PaneBox[
GridBox[{{
RowBox[{
TagBox["\"Version (latest): \"", "IconizedLabel"], " ", 
TagBox["\"2.0.0\"", "IconizedItem"]}]}, {
TagBox[
TemplateBox[{"\"Documentation »\"", "https://resources.wolframcloud.com/FunctionRepository/resources/b78a92a5-6ec3-462b-bcdc-a0971c7ea539/"}, "HyperlinkURL"], "IconizedItem"]}}, GridBoxAlignment -> {"Columns" -> {{Left}}}, DefaultBaseStyle -> "Column", GridBoxItemSize -> {"Columns" -> {{Automatic}}, "Rows" -> {{Automatic}}}], Alignment -> Left, FrameMargins -> {{5, 4}, {0, 4}}, BaselinePosition -> Baseline], "DialogStyle", FontFamily -> "Roboto", FontSize -> 11]}}, GridBoxAlignment -> {"Columns" -> {{Left}}, "Rows" -> {{Baseline}}}, GridBoxItemSize -> {"Columns" -> {{Automatic}}, "Rows" -> {{Automatic}}}, BaselinePosition -> {1, 1}, GridBoxDividers -> {"Columns" -> {{None}}, "Rows" -> {False, {
GrayLevel[0.8]}, False}}]}, 
Dynamic[Typeset`open], BaselinePosition -> Baseline, ImageSize -> Automatic], BaselinePosition -> Baseline, FrameMargins -> {{0, 0}, {1, 0}}, FrameStyle -> RGBColor[
       0.8313725490196079, 0.8470588235294118, 0.8509803921568627], Background -> RGBColor[
       0.9686274509803922, 0.9764705882352941, 0.984313725490196], RoundingRadius -> 4, DefaultBaseStyle -> {}]], {"FunctionResourceBox", 
RGBColor[0.8745098039215686, 0.2784313725490196, 0.03137254901960784],
      "MetamathImport"}, TagBoxNote -> "FunctionResourceBox"], 
ResourceFunction["MetamathImport"], BoxID -> "MetamathImport", Selectable -> False]][<|"Symbols" -> <|"(" -> "Constant"["("], ")" -> "Constant"[")"], "->" -> "Constant"["->"], "wff" -> "Constant"["wff"], "p" -> "Variable"["p"], "q" -> "Variable"["q"], "r" -> "Variable"["r"], "s" -> "Variable"["s"], "t" -> "Variable"["t"]|>, "Statements" -> <|"wp" -> "Hypothesis"["wp", {"wff", "p"}], "wq" -> "Hypothesis"["wq", {"wff", "q"}], "wr" -> "Hypothesis"["wr", {"wff", "r"}], "ws" -> "Hypothesis"["ws", {"wff", "s"}], "wt" -> "Hypothesis"["wt", {"wff", "t"}], "w->" -> "Axiom"["w->", {"wff", "(", "p", "->", "q", ")"}, {{}, {
"Hypothesis"["wp", {"wff", "p"}], 
"Hypothesis"["wq", {"wff", "q"}]}, {}}], "w->(->)" -> "Theorem"[
      "w->(->)", {"wff", "(", "r", "->", "(", "s", "->", "t", ")", ")"}, {{}, {
"Hypothesis"["wr", {"wff", "r"}], 
"Hypothesis"["ws", {"wff", "s"}], 
"Hypothesis"["wt", {"wff", "t"}]}, {}}, {"wr", "ws", "wt", "w->", "w->"}], "w(->)->" -> "Theorem"[
      "w(->)->", {"wff", "(", "(", "r", "->", "s", ")", "->", "t", ")"}, {{}, {
"Hypothesis"["wr", {"wff", "r"}], 
"Hypothesis"["ws", {"wff", "s"}], 
"Hypothesis"["wt", {"wff", "t"}]}, {}}, {"wr", "ws", "w->", "wt", "w->"}]|>|>]["SimpleSyntaxTree", "w(->)->"]
Out[6]=

Options (1) 

Verify (1) 

Verifying theorems expands proofs with more information:

In[7]:=
Cases[ResourceFunction["MetamathImport"][
   "\n$c ( ) -> wff $.\n$v p q r s t $.\nwp $f wff p $.\nwq $f wff q $.\nwr $f wff r $.\nws $f wff s $.\nwt $f wff t $.\nw-> $a wff ( p -> q ) $.\nw->(->) $p wff ( r -> ( s -> t ) ) $= wr ws wt w-> w-> $.\nw(->)-> $p wff ( ( r -> s ) -> t ) $= wr ws w-> wt w-> $.\n", "Verify" -> False]["Statements"], "Theorem"[label_, _, _, proof_] :> label -> proof]
Out[7]=
In[8]:=
Cases[ResourceFunction["MetamathImport"][
   "\n$c ( ) -> wff $.\n$v p q r s t $.\nwp $f wff p $.\nwq $f wff q $.\nwr $f wff r $.\nws $f wff s $.\nwt $f wff t $.\nw-> $a wff ( p -> q ) $.\nw->(->) $p wff ( r -> ( s -> t ) ) $= wr ws wt w-> w-> $.\nw(->)-> $p wff ( ( r -> s ) -> t ) $= wr ws w-> wt w-> $.\n", "Verify" -> True]["Statements"], "Theorem"[label_, _, _, proof_] :> label -> proof]
Out[8]=

Neat Examples (2) 

Import the SetMM database:

In[9]:=
mm = ResourceFunction["MetamathImport"]["SetMM"]; // AbsoluteTiming
Out[9]=
In[10]:=
mm["ProofGraph", "pythag"]
Out[10]=
In[11]:=
mm["SimpleSyntaxTree", "pythag"]
Out[11]=
In[12]:=
mm["SyntaxDependencyTree", "pythag"]
Out[12]=
In[13]:=
mm["TokenEventGraph", "2p2e4"]
Out[13]=

Norm Megill's proofs of the Wolfram Axioms:

In[14]:=
mm = ResourceFunction["MetamathImport"]["NormMegillWolframAxioms"]
Out[14]=
In[15]:=
mm["SyntaxTree", "T3"]
Out[15]=
In[16]:=
mm["ProofGraph", "T3"]
Out[16]=
In[17]:=
mm["SimpleSyntaxTree", "T3"]
Out[17]=

Publisher

N. Murzin

Version History

  • 2.1.0 – 17 January 2025
  • 2.0.0 – 07 March 2022
  • 1.0.0 – 21 September 2020

Source Metadata

Related Resources

License Information