Wolfram Function Repository
Instant-use add-on functions for the Wolfram Language
Function Repository Resource:
Make an animated bar chart race
ResourceFunction["BarChartRace"][{data1,data2.…},{label1,label2.…}] makes an animated bar chart race from the datai with corresponding labels labeli, with the top 10 rankings shown. | |
ResourceFunction["BarChartRace"][{data1,data2.…},{label1,label2.…},k] shows the top k rankings. |
| "InterpolatingFrames" | 22 | the number of bar charts interpolating between datai and datai+1 |
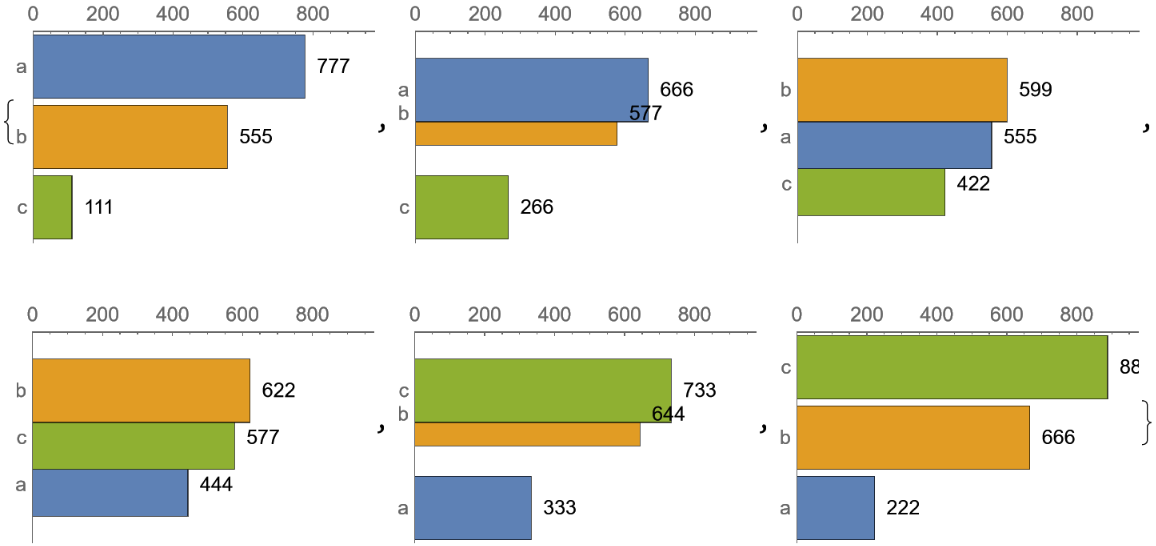
Show a few frames from a bar chart race:
| In[1]:= |
| Out[1]= | ![]() |
Animate a bar chart race with ListAnimate:
| In[2]:= | ![]() |
| Out[2]= | ![]() |
The 2021 FIA F1 World Championship was contested over twenty-two Grand Prix races, and held around the world. Drivers competed for the titles of World Drivers' Champion. Visualize the rankings over time as bar charts:
| In[3]:= |
| In[4]:= |
| In[5]:= | ![]() |
| In[6]:= | ![]() |
| In[7]:= | ![]() |

This work is licensed under a Creative Commons Attribution 4.0 International License