Wave Speed Using Angular Frequency
The phase velocity of a wave is the rate at which the phase of the wave propagates in space.
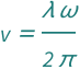
The wave propagation speed equals the angular frequency times the wavelength divided by 2\[Pi]
Formula
![Copy to Clipboard QuantityVariable["v", "Speed"] == (QuantityVariable["λ", "Wavelength"]*QuantityVariable["ω", "AngularFrequency"])/(2*Pi)](https://www.wolframcloud.com/objects/resourcesystem/marketplacestorage/resources/5b7/5b71c74f-a52c-4b46-929c-df071b3e27e3/Webpage/FormulaImage.png)
| symbol | description | physical quantity |
|---|---|---|
| v | wave propagation speed | "Speed" |
| λ | wavelength | "Wavelength" |
| ω | angular frequency | "AngularFrequency" |
Forms
Examples
Get the resource:
| In[1]:= |
| Out[1]= | ![]() |
Get the formula:
| In[2]:= |
| Out[2]= |
Use some values:
| In[3]:= |
| Out[3]= | ![]() |

