Thermal de Broglie Wavelength
The thermal de Broglie wavelength is roughly the average de Broglie wavelength of the gas particles in an ideal gas at the specified temperature.
The thermal de Broglie wavelength increases with the number of dimensions and the dispersion relation constants a and s. It decreases with temperature.
Formula
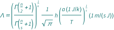
![Copy to Clipboard QuantityVariable["Λ", "Wavelength"] == (Gamma[1 + QuantityVariable["n", "Unitless"]/2]/Gamma[1 + QuantityVariable["n", "Unitless"]/QuantityVariable["s", "Unitless"]])^QuantityVariable["n", "Unitless"]^(-1)*Quantity[1, "Meters"/("Joules"*"Seconds")]*((Quantity[1, "Joules"/"BoltzmannConstant"]*QuantityVariable["a", "Unitless"])/QuantityVariable["T", "Temperature"])^QuantityVariable["s", "Unitless"]^(-1)*Row[{Quantity[1/Sqrt[Pi], "PlanckConstant"]}]](https://www.wolframcloud.com/objects/resourcesystem/marketplacestorage/resources/5ae/5aec793b-51ad-4430-b41a-d8345e355245/Webpage/FormulaImage.png)
| symbol | description | physical quantity |
|---|---|---|
| Λ | thermal de Broglie wavelength | "Wavelength" |
| n | number of dimensions | "Unitless" |
| s | dispersion relation constant s | "Unitless" |
| a | dispersion relation constant a | "Unitless" |
| T | temperature | "Temperature" |
Forms
Examples
Get the resource:
| In[1]:= |
| Out[1]= | ![]() |
Get the formula:
| In[2]:= |
| Out[2]= | ![]() |
Use some values:
| In[3]:= |
| Out[3]= | ![]() |


