Specific Rotation Using Pure Liquid
Specific rotation is a property of a chiral chemical compound. It is defined as the change in orientation of monochromatic plane-polarized light, per unit distance–concentration product, as the light passes through a sample of a compound in a solution.
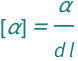
Specific rotation equals the optical rotation angle divided by the density of the liquid and path length of the light.
Examples
Get the resource:
| Out[1]= |  |
Get the formula:
| Out[2]= |  |
Use some values:
| Out[3]= |  |
External Links
Publisher Information