Self-Inductance of a Single-Layer Rectangular Cross-Section Coil
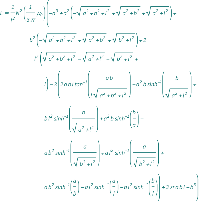
The selfinductance of a single-layer rectangular cross-section coil is a property that describes the electromotive force caused by the change in current in the coil.
The self\[Hyphen]inductance increases quadratically with the number of coils. The coil cross-section edge lengths have cubic effects on the self-inductance. Increasing coil length generally diminishes self-inductance.
Examples
Get the resource:
| Out[1]= |  |
Get the formula:
| Out[2]= |  |
Use some values:
| Out[3]= |  |
External Links
Publisher Information