Self-Inductance of a Single-Layer Circular Coil of Small Radius
The selfinductance of a singlelayer circular coil of small radius is a property that describes the electromotive force caused by the change in current in the coil.
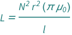
The self\[Hyphen]inductance increases quadratically with the number of coils and the coil radius. It decreases inversely with the coil length.
Formula
![Copy to Clipboard QuantityVariable["L", "MagneticInductance"] == (Quantity[Pi, "MagneticConstant"]*QuantityVariable["N", "Unitless"]^2*QuantityVariable["r", "Radius"]^2)/QuantityVariable["l", "Length"]](https://www.wolframcloud.com/objects/resourcesystem/marketplacestorage/resources/e4f/e4f22f07-795d-4c8f-be1e-1548d6a33b84/Webpage/FormulaImage.png)
| symbol | description | physical quantity |
|---|---|---|
| L | selfinductance | "MagneticInductance" |
| l | coil length | "Length" |
| N | coil turns | "Unitless" |
| r | coil radius | "Radius" |
Forms
Examples
Get the resource:
| In[1]:= |
| Out[1]= | ![]() |
Get the formula:
| In[2]:= |
| Out[2]= | ![]() |
Use some values:
| In[3]:= | ![]() |
| Out[3]= | ![]() |


![FormulaData[
ResourceObject[
"Self-Inductance of a Single-Layer Circular Coil of Small Radius"], \
{QuantityVariable["r","Radius"] -> Quantity[1, "Centimeters"],
QuantityVariable["N","Unitless"] -> 10}]](images/e4f/e4f22f07-795d-4c8f-be1e-1548d6a33b84-io-3-i.en.gif)
