Rotational Kinetic Energy
Rotational kinetic energy, or angular kinetic energy, is kinetic energy due to the rotation of an object and is part of its total kinetic energy.
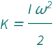
Rotational kinetic energy equals the moment of inertia times the angular velocity squared divided by 2.
Formula
![Copy to Clipboard QuantityVariable["K", "Energy"] == (QuantityVariable["I", "MomentOfInertia"]*QuantityVariable["ω", "AngularVelocity"]^2)/2](https://www.wolframcloud.com/objects/resourcesystem/marketplacestorage/resources/91e/91ed6a54-3d6b-4e81-9039-b2b72e05745c/Webpage/FormulaImage.png)
| symbol | description | physical quantity |
|---|---|---|
| K | rotational kinetic energy | "Energy" |
| I | moment of inertia | "MomentOfInertia" |
| ω | angular velocity | "AngularVelocity" |
Forms
Examples
Get the resource:
| In[1]:= |
| Out[1]= | ![]() |
Get the formula:
| In[2]:= |
| Out[2]= |
Use some values:
| In[3]:= |
| Out[3]= | ![]() |

