Rossiter Coefficient and Frequency
The Rossiter coefficient is related to the Strouhal number, a dimensionless number describing oscillating flow mechanisms. The frequency is the frequency of vortex shedding.
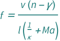
The frequency of vortex shedding equals the product of the characteristic speed and the difference between the mode number and the Rossiter coefficient \[Gamma] divided by the product of the characteristic length and the sum of the Mach number and the reciprocal of the Rossiter coefficient \[Kappa].
Examples
Get the resource:
| Out[1]= |  |
Get the formula:
| Out[2]= |  |
Use some values:
| Out[3]= |  |
External Links
Publisher Information