Relativistic de Broglie Frequency by Velocity
The de Broglie frequency is the frequency associated with a massive particle in motion according to quantum mechanics, accounting for relativistic effects.
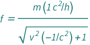
The de Broglie frequency is proportional to the mass divided by the square root of 1 minus the square of the ratio between the velocity and the speed of light.
Formula
![Copy to Clipboard QuantityVariable["f", "Frequency"] == (Quantity[1, "SpeedOfLight"^2/"PlanckConstant"]*QuantityVariable["m", "Mass"])/Sqrt[1 + Quantity[-1, "SpeedOfLight"^(-2)]*QuantityVariable["v", "Speed"]^2]](https://www.wolframcloud.com/objects/resourcesystem/marketplacestorage/resources/30d/30da71ba-57b6-4dde-bbd1-3bb561e85d08/Webpage/FormulaImage.png)
| symbol | description | physical quantity |
|---|---|---|
| f | frequency | "Frequency" |
| m | mass | "Mass" |
| v | velocity | "Speed" |
Forms
Examples
Get the resource:
| In[1]:= |
| Out[1]= | ![]() |
Get the formula:
| In[2]:= |
| Out[2]= | ![]() |
Use some values:
| In[3]:= | ![]() |
| Out[3]= |


![FormulaData[
ResourceObject[
"Relativistic de Broglie Frequency by Velocity"], {QuantityVariable[
"v","Speed"] -> Quantity[1, ("Meters")/("Seconds")],
QuantityVariable["f","Frequency"] -> Quantity[1.`, "Hertz"]}]](images/30d/30da71ba-57b6-4dde-bbd1-3bb561e85d08-io-3-i.en.gif)