Relativistic Kinetic Energy
The kinetic energy of an object is the energy that it possesses due to its motion. It is defined as the work needed to accelerate a body of a given mass from rest to its stated velocity.
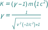
The kinetic energy equals the product of the mass, the speed of light squared, and the relativistic gamma minus one. The relativistic gamma is the reciprocal of the square root of one minus the ratio of the velocity and the speed of light squared.
Examples
Get the resource:
| Out[1]= |  |
Get the formula:
| Out[2]= |  |
Use some values:
| Out[3]= |  |
External Links
Publisher Information