Rayleigh Scattering Cross-Section for Particles
Rayleigh scattering is the elastic scattering of light or other electromagnetic radiation by particles much smaller than the wavelength of the radiation.
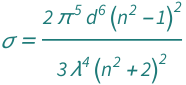
The Rayleigh scattering cross-section is proportional to the diameter to the sixth power divided by the wavelength to the fourth power. It is modified by the refractive index within the material.
Examples
Get the resource:
| Out[1]= |  |
Get the formula:
| Out[2]= |  |
Use some values:
| Out[3]= |  |
External Links
Publisher Information