Rayleigh Scattering Cross-Section for Molecules of Gases
Rayleigh scattering is the elastic scattering of light or other electromagnetic radiation by particles much smaller than the wavelength of the radiation.
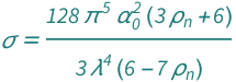
The Rayleigh scattering cross-section is proportional to the volume polarizability squared divided by the wavelength to the fourth power. It is modified by the depolarization factor.
Examples
Get the resource:
| Out[1]= |  |
Get the formula:
| Out[2]= |  |
Use some values:
| Out[3]= |  |
External Links
Publisher Information