Rayleigh Criterion Angle for Circular Aperture Diffraction
The diffraction intensity ratio is the ratio between intensity at a given angle and the incident intensity of light passing through a circular aperture.
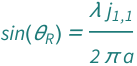
The sine of the Rayleigh criterion angle is directly proportional to the wavelength and inversely proportional to aperture radius.
Formula
![Copy to Clipboard Sin[QuantityVariable[Subscript["θ", "R"], "Angle"]] == (BesselJZero[1, 1]*QuantityVariable["λ", "Wavelength"])/(2*Pi*QuantityVariable["a", "Distance"])](https://www.wolframcloud.com/objects/resourcesystem/marketplacestorage/resources/4f7/4f7becc5-8c5d-4e05-8e05-46aa6fcbd3c0/Webpage/FormulaImage.png)
| symbol | description | physical quantity |
|---|---|---|
| θR | Rayleigh criterion angle | "Angle" |
| a | aperture radius | "Distance" |
| λ | wavelength | "Wavelength" |
Forms
Examples
Get the resource:
| In[1]:= |
| Out[1]= | ![]() |
Get the formula:
| In[2]:= |
| Out[2]= |
Use some values:
| In[3]:= | ![]() |
| Out[3]= |

![FormulaData[
ResourceObject[
"Rayleigh Criterion Angle for Circular Aperture Diffraction"], \
{QuantityVariable["a","Distance"] -> Quantity[0.01`, "Millimeters"]}]](images/4f7/4f7becc5-8c5d-4e05-8e05-46aa6fcbd3c0-io-3-i.en.gif)