Pooled Variance
Pooled variance is a method for estimating the variance of several different populations when the mean of each population may be different, but one may assume that the variance of each population is the same.
The pooled variance increases quadratically with the sample standard deviations weighted by the sample sizes.
Formula
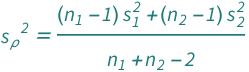
![Copy to Clipboard QuantityVariable[Superscript[Subscript["s", "ρ"], "2"], "Unitless"] == ((-1 + QuantityVariable[Subscript["n", "1"], "Unitless"])*QuantityVariable[Subscript["s", "1"], "Unitless"]^2 + (-1 + QuantityVariable[Subscript["n", "2"], "Unitless"])*QuantityVariable[Subscript["s", "2"], "Unitless"]^2)/(-2 + QuantityVariable[Subscript["n", "1"], "Unitless"] + QuantityVariable[Subscript["n", "2"], "Unitless"])](https://www.wolframcloud.com/objects/resourcesystem/marketplacestorage/resources/598/59816002-a84e-4d1a-aaa1-c8df2ca61e36/Webpage/FormulaImage.png)
| symbol | description | physical quantity |
|---|---|---|
| sρ2 | pooled variance | "Unitless" |
| n1 | first sample size | "Unitless" |
| n2 | second sample size | "Unitless" |
| s1 | first sample standard deviation | "Unitless" |
| s2 | second sample standard deviation | "Unitless" |
Forms
Examples
Get the resource:
| In[1]:= |
| Out[1]= | ![]() |
Get the formula:
| In[2]:= |
| Out[2]= | ![]() |
Use some values:
| In[3]:= |
| Out[3]= |

