Polytropic Process
A polytropic process is a thermodynamic process that obeys the relation that the pressure times the specific volume to the power of the polytropic index equals a constant.
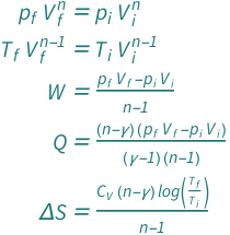
The final pressure times the final volume to the power of the polytropic index equals the initial pressure times the initial volume to the power of the polytropic index. The final temperature times the final volume to the power of the polytropic index minus 1 equals the initial temperature times the initial volume to the power of the polytropic index minus 1. The work done on the system equals the final pressure times the final volume minus the initial pressure times the initial volume divided by the polytropic index minus 1. The heat transferred to the system equals the work times the ratio of the polytropic index minus the heat capacity ratio and heat capacity ratio minus 1. The entropy change equals the product of the logarithm of the ratio between the final and initial temperatures, isobaric heat capacity and the ratio of the polytropic index minus the heat capacity ratio and heat capacity ratio minus 1.
Examples
Get the resource:
| Out[1]= |  |
Get the formula:
| Out[2]= |  |
Use some values:
| Out[3]= |  |
External Links
Publisher Information