Optimal Throwing Angle
Determine the optimal release angle to maximize distance, assuming no air resistance and a normal Earth-surface gravitational pull using the height of release and the speed of the projectile.
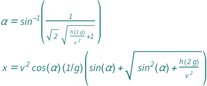
Given a height at which an object is released and its speed, calculate the optimal angle needed to maximize the distance thrown.
Formula
![Copy to Clipboard {QuantityVariable["α", "Angle"] == ArcSin[1/(Sqrt[2]*Sqrt[1 + (Quantity[1, "StandardAccelerationOfGravity"]*QuantityVariable["h", "Height"])/QuantityVariable["v", "Speed"]^2])], QuantityVariable["x", "Distance"] == Cos[QuantityVariable["α", "Angle"]]*Quantity[1, "StandardAccelerationOfGravity"^(-1)]*QuantityVariable["v", "Speed"]^2*(Sin[QuantityVariable["α", "Angle"]] + Sqrt[(Quantity[2, "StandardAccelerationOfGravity"]*QuantityVariable["h", "Height"])/QuantityVariable["v", "Speed"]^2 + Sin[QuantityVariable["α", "Angle"]]^2])}](https://www.wolframcloud.com/objects/resourcesystem/marketplacestorage/resources/26d/26d63f54-747b-45e7-a8e8-1f17cd21f270/Webpage/FormulaImage.png)
| symbol | description | physical quantity | 
|---|---|---|
| α | release angle relative to horizontal | "Angle" | 
| h | height of release | "Height" | 
| v | initial speed | "Speed" | 
| x | horizontal distance traveled | "Distance" | 
Forms
Examples
Get the resource:
| In[1]:= | 
| Out[1]= | ![]()  | 
Get the formula:
| In[2]:= | 
| Out[2]= | ![]()  | 
Use some values:
| In[3]:= | 
| Out[3]= | ![]()  | 


