Odds Ratio
The odds ratio is a way to quantify how strongly the presence or absence of property A is associated with the presence or absence of property B in a given population.
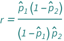
The odds ratio equals the ratio of the product of the first sample proportion and 1 minus the second sample proportion and the product of the second sample proportion and 1 minus the first sample proportion.
Examples
Get the resource:
| Out[1]= |  |
Get the formula:
| Out[2]= |  |
Use some values:
| Out[3]= |  |
External Links
Publisher Information