Numerical Aperture Using f-Number
The numerical aperture of an optical system is a dimensionless number that characterizes the range of angles over which the system can accept or emit light.
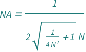
The numerical aperture decreases inversely with the f\[Hyphen]number.
Formula
![Copy to Clipboard QuantityVariable["NA", "Unitless"] == 1/(2*Sqrt[1 + 1/(4*QuantityVariable["N", "Unitless"]^2)]*QuantityVariable["N", "Unitless"])](https://www.wolframcloud.com/objects/resourcesystem/marketplacestorage/resources/14a/14abc862-e382-4cbe-ad45-6611a2b46bb6/Webpage/FormulaImage.png)
| symbol | description | physical quantity |
|---|---|---|
| NA | numerical aperture | "Unitless" |
| N | fnumber | "Unitless" |
Forms
Examples
Get the resource:
| In[1]:= |
| Out[1]= | ![]() |
Get the formula:
| In[2]:= |
| Out[2]= | ![]() |
Use some values:
| In[3]:= |
| Out[3]= |

