Mohr's Circle Plane Normal Strain Y Direction
Mohr's circle is a two-dimensional graphical representation of the transformation law for the Cauchy stress tensor. Normal strain is a description of deformation in terms of relative displacement of particles in the normal direction in the body that excludes rigid-body motions.
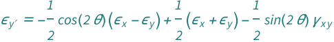
The normal strain in a new y direction increases with the normal strains in the x and y directions (though a larger normal strain in the y direction will increase it more). Decreased shear strain in the x\[Hyphen]y coordinates will also increase normal strain in the new y direction. The angle of the new y direction also modifies the normal strain in the new y direction.
Examples
Get the resource:
| Out[1]= |  |
Get the formula:
| Out[2]= |  |
Use some values:
| Out[3]= |  |
External Links
Publisher Information