Lorentz Factor
The Lorentz factor is the factor by which time, length and relativistic mass change for an object while that object is moving.
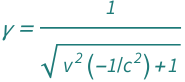
The Lorentz factor equals the reciprocal of the square root of 1 minus the square of the ratio of the velocity and the speed of light.
Formula
![Copy to Clipboard QuantityVariable["γ", "RelativisticGamma"] == 1/Sqrt[1 + Quantity[-1, "SpeedOfLight"^(-2)]*QuantityVariable["v", "Speed"]^2]](https://www.wolframcloud.com/objects/resourcesystem/marketplacestorage/resources/268/2689d077-8182-4013-a4f8-2d695e61b484/Webpage/FormulaImage.png)
| symbol | description | physical quantity |
|---|---|---|
| γ | relativistic gamma | "RelativisticGamma" |
| v | velocity | "Speed" |
Forms
Examples
Get the resource:
| In[1]:= |
| Out[1]= | ![]() |
Get the formula:
| In[2]:= |
| Out[2]= | ![]() |
Use some values:
| In[3]:= |
| Out[3]= |

