Jeans Mass Using Temperature
The Jeans mass is the mass that a spherical cloud of interstellar gas must have in order to contract under its own weight.
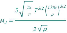
Jeans mass is proportional to the ratio of the temperature to the mean mass per particle to the 3/2 power divided by the square root of the mass density.
Formula
![Copy to Clipboard QuantityVariable[Subscript["M", "J"], "Mass"] == (5*Sqrt[15/Pi]*QuantityVariable["T", "Temperature"]^(3/2)*(Quantity[1, "BoltzmannConstant"/"GravitationalConstant"]/QuantityVariable["μ", "Mass"])^(3/2))/(2*Sqrt[QuantityVariable["ρ", "MassDensity"]])](https://www.wolframcloud.com/objects/resourcesystem/marketplacestorage/resources/c68/c68051fc-34ed-4b1f-992d-e48f082deecf/Webpage/FormulaImage.png)
| symbol | description | physical quantity |
|---|---|---|
| MJ | Jeans mass | "Mass" |
| T | temperature | "Temperature" |
| μ | mean mass per particle | "Mass" |
| ρ | mass density | "MassDensity" |
Forms
Examples
Get the resource:
| In[1]:= |
| Out[1]= | ![]() |
Get the formula:
| In[2]:= |
| Out[2]= | ![]() |
Use some values:
| In[3]:= |
| Out[3]= | ![]() |


