Jeans Mass Using Speed of Sound
The Jeans mass is the mass that a spherical cloud of interstellar gas must have in order to contract under its own weight.
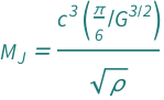
The Jeans mass is proportional to the sound speed cubed divided by the square root of the mass density.
Formula
![Copy to Clipboard QuantityVariable[Subscript["M", "J"], "Mass"] == (Quantity[Pi/6, "GravitationalConstant"^(-3/2)]*QuantityVariable["c", "SoundSpeed"]^3)/Sqrt[QuantityVariable["ρ", "MassDensity"]]](https://www.wolframcloud.com/objects/resourcesystem/marketplacestorage/resources/7c8/7c878d80-b3df-47c9-b82f-7555cb9b14c2/Webpage/FormulaImage.png)
| symbol | description | physical quantity |
|---|---|---|
| MJ | Jeans mass | "Mass" |
| c | sound speed | "SoundSpeed" |
| ρ | mass density | "MassDensity" |
Forms
Examples
Get the resource:
| In[1]:= |
| Out[1]= | ![]() |
Get the formula:
| In[2]:= |
| Out[2]= | ![]() |
Use some values:
| In[3]:= | ![]() |
| Out[3]= |


![FormulaData[
ResourceObject[
"Jeans Mass Using Speed of Sound"], {QuantityVariable[
"\[Rho]","MassDensity"] ->
Quantity[6.69489`6.*^-24, ("Kilograms")/("Centimeters")^3],
QuantityVariable[
\!\(\*SubscriptBox[\("M"\), \("J"\)]\),"Mass"] ->
Quantity[1.`1., "Kilograms"]}]](images/7c8/7c878d80-b3df-47c9-b82f-7555cb9b14c2-io-3-i.en.gif)