Inclined Span Catenary Sag
The inclined span catenary sag describes the tensions and sagging curve, or catenary, of a cable connecting two points at different elevations.
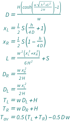
The sag increases with horizontal tension and decreases with cable weight per unit length, elevation difference and span. The distance from the left support to the low-point distance increases with span and horizontal tension, and decreases with sag. The distance from the right support to the low-point distance increases with span and sag, and decreases with horizontal tension. Cable length increases with sag, cable weight per unit length and the distances between the supports and the low point. It decreases as tension increases. The sag relative to a support equals cable weight per unit length times the distance to the low point squared divided by twice the horizontal tension. The tension at a support equals the overal tension plus the cable weight per unit length times the sag relative to a support. The average tension is the average of the tensions at each support minus the overall sag times half the cable weight per unit length.
Examples
Get the resource:
| Out[1]= |  |
Get the formula:
| Out[2]= |  |
Use some values:
| Out[3]= |  |
Publisher Information