Horizon Distance
The horizon or skyline is the apparent line that separates earth from sky, the line that divides all visible directions into two categories: those that intersect the Earth's surface, and those that do not.
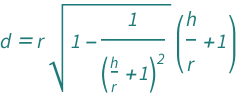
The horizon distance increases with altitude and the radius of the planet.
Formula
![Copy to Clipboard QuantityVariable["d", "Distance"] == Sqrt[1 - (1 + QuantityVariable["h", "Height"]/QuantityVariable["r", "Radius"])^(-2)]*(1 + QuantityVariable["h", "Height"]/QuantityVariable["r", "Radius"])*QuantityVariable["r", "Radius"]](https://www.wolframcloud.com/objects/resourcesystem/marketplacestorage/resources/498/498666b2-8cda-4227-b6c9-ad82f83b1339/Webpage/FormulaImage.png)
| symbol | description | physical quantity |
|---|---|---|
| d | horizon distance | "Distance" |
| h | altitude | "Height" |
| r | planetary radius | "Radius" |
Forms
Examples
Get the resource:
| In[1]:= |
| Out[1]= | ![]() |
Get the formula:
| In[2]:= |
| Out[2]= | ![]() |
Use some values:
| In[3]:= |
| Out[3]= | ![]() |


