Hedge Effectiveness
Hedge effectiveness is the extent to which a hedge transaction results in offsetting changes in fair value or cash flow that the transaction was intended to provide (as identified by the hedging entity).
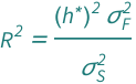
The hedge effectiveness equals the standard deviation futures price change squared times the minimum variance hedge ratio squared divided by the standard deviation spot price change squared.
Formula
![Copy to Clipboard QuantityVariable[Superscript["R", "2"], "Unitless"] == (QuantityVariable[Subscript["σ", "F"], "Money"]^2*QuantityVariable[SuperStar["h"], "Unitless"]^2)/QuantityVariable[Subscript["σ", "S"], "Money"]^2](https://www.wolframcloud.com/objects/resourcesystem/marketplacestorage/resources/94a/94a7dddc-7e45-43bc-b4d9-d0d4a0011cb4/Webpage/FormulaImage.png)
| symbol | description | physical quantity |
|---|---|---|
| R2 | hedge effectiveness | "Unitless" |
| σF | standard deviation futures price change | "Money" |
| σS | standard deviation spot price change | "Money" |
| h* | minimum variance hedge ratio | "Unitless" |