Froude Number
The Froude number is a dimensionless number defined as the ratio of the flow inertia to the external field (the latter in many applications simply due to gravity).
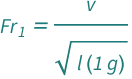
The Froude number equals the characteristic speed divided by the square root of the product of the accleration due to gravity and the characteristic length.
Formula
![Copy to Clipboard QuantityVariable[Subscript["Fr", "1"], "FroudeNumber1"] == QuantityVariable["v", "Speed"]/Sqrt[Quantity[1, "StandardAccelerationOfGravity"]*QuantityVariable["l", "Length"]]](https://www.wolframcloud.com/objects/resourcesystem/marketplacestorage/resources/338/338a9309-eb6c-4e52-851f-f0a7de0ae99d/Webpage/FormulaImage.png)
| symbol | description | physical quantity |
|---|---|---|
| Fr1 | first Froude number | "FroudeNumber1" |
| l | characteristic length | "Length" |
| v | characteristic speed | "Speed" |
Forms
Examples
Get the resource:
| In[1]:= |
| Out[1]= | ![]() |
Get the formula:
| In[2]:= |
| Out[2]= | ![]() |
Use some values:
| In[3]:= |
| Out[3]= | ![]() |


