Fermi Energy for Non-Interacting Fermions
The Fermi energy is a concept in quantum mechanics usually referring to the energy difference between the highest and lowest occupied single-particle states in a quantum system of non-interacting fermions at absolute zero temperature.
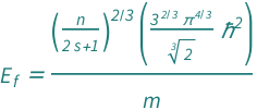
The Fermi energy is proportional to the two-thirds power of the ratio between the number density of the gas and 1 plus twice the particle spin. It is also inversely proportional to the mass of the individual particles.
Examples
Get the resource:
| Out[1]= |  |
Get the formula:
| Out[2]= |  |
Use some values:
| Out[3]= |  |
External Links
Publisher Information