Fanno Flow
Fanno flow describes the adiabatic flow through a constant area duct where the effect of friction is considered.
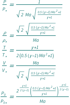
The ratio of pressure and choked pressure is inversely proportional to the Mach number, and increases as the heat capacity ratio nears 1. The ratio of density and choked density decreases as the heat capacity ratio nears 1, and also depends on the Mach number. The ratio of temperature and choked temperature decreases quadratically with the Mach number, and increases as the heat capacity ratio nears 1. The ratio of velocity and choked velocity increases as the heat capacity ratio nears 1, and also depends on the Mach number. The ratio of stagnation and choked stagnation pressure depends nonlinearly on the Mach number and heat capacity ratio.
Examples
Get the resource:
| Out[1]= |  |
Get the formula:
| Out[2]= |  |
Use some values:
| Out[3]= |  |
External Links
Publisher Information