Electric Field of a Point Charge
A point charge is an idealized model of a particle that has an electric charge. A point charge is an electric charge at a mathematical point with no dimensions.
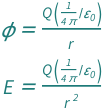
The electric potential is proportional to the electric charge divided by the distance from the point charge. The electric field strength is proportional to the electric charge divided by the distance from the point charge squared.
Examples
Get the resource:
| Out[1]= |  |
Get the formula:
| Out[2]= |  |
Use some values:
| Out[3]= |  |
External Links
Publisher Information