Driven Pendulum Harmonic Oscillator
A pendulum harmonic oscillator is a system that, when displaced from its equilibrium position, experiences a restoring force proportional to the displacement. A driven pendulum harmonic oscillator experiences an external time-dependent force driving the system.
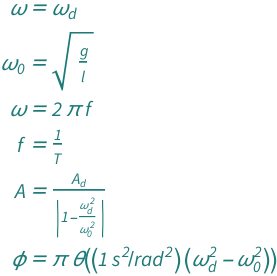
The angular frequency for a driven pendulum harmonic oscillator equals the driving angular frequency as well as 2\[Pi] times the frequency. The frequency equals the reciprocal of the period. The natural angular frequency equals the square root of the ratio of the acceleration due to gravity and the length of the pendulum. The amplitude is directly proportional to the driving amplitude and maximizes when the natural angular frequency equals the driving frequency. The phase depends on the difference between the natural angular frequency and driving frequency.
Examples
Get the resource:
| Out[1]= |  |
Get the formula:
| Out[2]= |  |
Use some values:
| Out[3]= |  |
External Links
Publisher Information