Driven Harmonic Oscillator
A harmonic oscillator is a system that, when displaced from its equilibrium position, experiences a restoring force proportional to the displacement. A driven harmonic oscillator experiences an external time-dependent force driving the system.
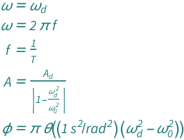
The angular frequency for a damped driven harmonic oscillator equals the driving angular frequency, as well as 2\[Pi] times the frequency. The frequency equals the reciprocal of the period. The amplitude is directly proportional to the driving amplitude, and maximizes when the natural angular frequency equals the driving frequency. The phase depends on the difference between the natural angular frequency and driving frequency.
Examples
Get the resource:
| Out[1]= |  |
Get the formula:
| Out[2]= |  |
Use some values:
| Out[3]= |  |
External Links
Publisher Information