Damped Torsion Harmonic Oscillator
A torsion harmonic oscillator is a twisting system that, when displaced from its equilibrium position, experiences a restoring force proportional to the displacement. A damped torsion harmonic oscillator experiences a frictional force (damping) proportional to the velocity.
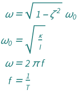
The angular frequency for a damped driven harmonic oscillator equals the natural angular frequency times the square root of 1 minus the damping ratio squared, as well as 2\[Pi] times the frequency. The frequency equals the reciprocal of the period. The natural frequency equals the square root of the torsional constant divided by the moment of inertia.
Examples
Get the resource:
| Out[1]= |  |
Get the formula:
| Out[2]= |  |
Use some values:
| Out[3]= |  |
External Links
Publisher Information