Damped Spring Harmonic Oscillator
A spring harmonic oscillator is a spring that, when displaced from its equilibrium position, experiences a restoring force proportional to the displacement. A damped spring harmonic oscillator experiences a frictional force (damping) proportional to the velocity.
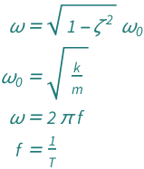
The angular frequency for a damped spring harmonic oscillator equals 2\[Pi] times the frequency. It also equals the square root of 1 minus the damping ratio squared times the natural angular frequency. The frequency equals the reciprocal of the period. The natural angular frequency equals the square root of the ratio between the spring constant and the mass.
Examples
Get the resource:
| Out[1]= |  |
Get the formula:
| Out[2]= |  |
Use some values:
| Out[3]= |  |
External Links
Publisher Information