Damped Pendulum Harmonic Oscillator
A pendulum harmonic oscillator is a system that, when displaced from its equilibrium position, experiences a restoring force proportional to the displacement. A damped pendulum harmonic oscillator experiences a frictional force (damping) proportional to the velocity.
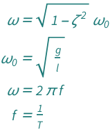
The angular frequency for a damped pendulum harmonic oscillator equals the square root of 1 minus the square of the damping ratio times the natural angular frequency. It is also equal to 2\[Pi] times the frequency. The frequency equals the reciprocal of the period. The natural angular frequency equals the square root of the ratio of the acceleration due to gravity and the length of the pendulum.
Formula
![Copy to Clipboard {QuantityVariable["ω", "AngularFrequency"] == Sqrt[1 - QuantityVariable["ζ", "Unitless"]^2]*QuantityVariable[Subscript["ω", "0"], "AngularFrequency"], QuantityVariable[Subscript["ω", "0"], "AngularFrequency"] == Sqrt[QuantityVariable["g", "GravitationalAcceleration"]/QuantityVariable["l", "Length"]], QuantityVariable["ω", "AngularFrequency"] == 2*Pi*QuantityVariable["f", "Frequency"], QuantityVariable["f", "Frequency"] == QuantityVariable["T", "Period"]^(-1)}](https://www.wolframcloud.com/objects/resourcesystem/marketplacestorage/resources/2d4/2d47315b-7554-4aae-993f-62a9738ad96c/Webpage/FormulaImage.png)