Damped Harmonic Oscillator
A harmonic oscillator is a system that, when displaced from its equilibrium position, experiences a restoring force proportional to the displacement. A damped harmonic oscillator experiences a frictional force (damping) proportional to the velocity.
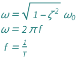
The angular frequency for a damped driven harmonic oscillator equals the natural angular frequency times the square root of 1 minus the damping ratio squared, as well as 2\[Pi] times the frequency. The frequency equals the reciprocal of the period.
Examples
Get the resource:
| Out[1]= |  |
Get the formula:
| Out[2]= |  |
Use some values:
| Out[3]= |  |
External Links
Publisher Information