Cherenkov Radiation
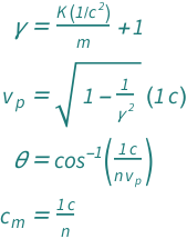
Cherenkov radiation is electromagnetic radiation emitted when a charged particle (such as an electron) passes through a dielectric medium at a speed greater than the phase velocity of light in that medium.
The Cherenkov angle equals the inverse cosine of the speed of light in a vacuum divided by the index of refraction of the medium and the velocity of the particle in the medium.
Examples
Get the resource:
| Out[1]= |  |
Get the formula:
| Out[2]= |  |
Use some values:
| Out[3]= |  |
External Links
Publisher Information