Bose–Einstein Condensation Temperature for Noninteracting Bosons Using Number Density
The Bose–Einstein condensation temperature is the temperature at which a free Bose gas transitions to a Bose–Einstein condensate. Under such conditions, a large fraction of bosons occupy the lowest quantum state, at which point macroscopic quantum phenomena become apparent.
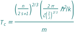
The Bose-Einstein condensation temperature increases as the square of the cubic root of the boson number density increases, and increases inversely with the mass of each boson.
Examples
Get the resource:
| Out[1]= |  |
Get the formula:
| Out[2]= |  |
Use some values:
| Out[3]= |  |
External Links
Publisher Information