Bond Number
The Bond number, or Eötvös number, is a dimensionless number measuring the importance of gravitational forces compared to surface tension forces, and is used to characterize the shape of bubbles or drops moving in a surrounding fluid.
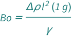
The Bond number equals the product of the square of the characteristic length, difference in densities of the substances and the gravitational acceleration divided by the surface tension.
Examples
Get the resource:
| Out[1]= |  |
Get the formula:
| Out[2]= |  |
Use some values:
| Out[3]= |  |
External Links
Publisher Information